| Mọi thông tin dưới đây đã được Dược sĩ biên soạn lại. Tuy nhiên, nội dung hoàn toàn giữ nguyên dựa trên tờ Hướng dẫn sử dụng, chỉ thay đổi về mặt hình thức. |
1. Thành phần
FORXIGA 10mg:
Mỗi viên chứa 12,3 mg dapagliflozin propanediol monohydrat tương đương với 10mg dapagliflozin.
Tá dược: Mỗi viên chứa 50mg lactose khan.
Xem phần “Danh Mục Tá Dược” để biết đầy đủ các loại tá dược được sử dụng.
Danh mục tá dược
Viên nhân: Celulose vi tinh thể, Lactose khan, Crospovidon, Silicon dioxyd, Magnesi stearat.
Bao viên: Polyvinyl alcohol, Titandioxyd (E171), Macrogol 3350, Talc, Oxyd sắt vàng (E172).
2. Công dụng (Chỉ định)
Đái tháo đường týp 2
FORXIGA được chỉ định như là liệu pháp bổ sung vào chế độ ăn kiêng và tập thể dục để điều trị cho bệnh nhân trưởng thành bị đái tháo đường týp 2 không kiểm soát tốt đường huyết trong:
- Đơn trị liệu ở bệnh nhân không thích hợp sử dụng metformin do không dung nạp.
- Phối hợp với các thuốc khác để điều trị đái tháo đường týp 2.
FORXIGA được chỉ định để làm giảm nguy cơ nhập viện do suy tim ở bệnh nhân trưởng thành bị đái tháo đường týp 2 và hoặc có tiền sử bệnh lý tim mạch hoặc nhiều yếu tố nguy cơ tim mạch.
Suy tim
FORXIGA được chỉ định để làm giảm nguy cơ tử vong tim mạch và nhập viện do suy tim ở bệnh nhân trưởng thành bị suy tim (phân loại NYHA II-IV) với phân suất tống máu giảm.
Bệnh thận mạn tính
FORXIGA được chỉ định để làm giảm nguy cơ suy giảm eGFR kéo dài, bệnh thận giai đoạn cuối, tử vong tim mạch và nhập viện do suy tim ở bệnh nhân trưởng thành bị bệnh thận mạn tính có nguy cơ tiến triển.
Giới hạn sử dụng
FORXIGA không được khuyến khích điều trị bệnh thận mạn tính ở bệnh nhân có bệnh thận đa nang hoặc bệnh nhân cần hoặc có tiền sử gần đây sử dụng các thuốc ức chế miễn dịch để điều trị bệnh lý thận. Thuốc dự kiến sẽ không có hiệu quả trên nhóm bệnh nhân này.
3. Cách dùng – Liều dùng
Trước khi khởi trị với FORXIGA
Đánh giá chức năng thận trước khi khởi trị với FORXIGA và khi có chỉ định lâm sàng.
Đánh giá tình trạng khối lượng dung dịch và, nếu cần thiết, điều chỉnh tình trạng thiếu dịch trước khi dùng FORXIGA.
Liều dùng
Xem Bảng 1 để biết các khuyến cáo về liều dùng dựa trên độ lọc cầu thận ước tính (eGFR).
Bảng 1. Liều khuyến cáo
eGFR (mL/phút/1,73 m2) | Liều khuyến cáo |
eGFR từ 45 trở lên | 10 mg đường uống, 1 lần/ngày. |
eGFR từ 25 đến dưới 45 | Không khuyến cáo dùng FORXIGA trong kiểm soát đường huyết ở bệnh nhân trưởng thành bị đái tháo đường týp 2. Đối với tất cả các chỉ định khác, 10 mg đường uống, 1 lần/ngày. |
eGFR dưới 25 | Không khuyến cáo khởi trị, tuy nhiên, bệnh nhân có thể tiếp tục dùng 10 mg đường uống, 1 lần/ngày để làm giảm nguy cơ suy giảm eGFR kéo dài, bệnh thận giai đoạn cuối (ESKD), tử vong tim mạch (CV) và nhập viện do suy tim (hHF). |
Đang lọc máu | Chống chỉ định. |
hHF: nhập viện do suy tim, CV: Tim mạch, ESKD: Bệnh thận giai đoạn cuối.
Suy giảm chức năng gan
Không cần điều chỉnh liều cho bệnh nhân suy giảm chức năng gan nhẹ hoặc trung bình. Ở bệnh nhân suy giảm chức năng gan nặng, liều khởi đầu khuyến cáo là 5 mg. Nếu dung nạp tốt, có thể tăng liều đến 10 mg (xem phần “Cảnh Báo và Thận Trọng Khi Dùng Thuốc” và “Đặc Tính Dược Động Học”).
Người cao tuổi (≥ 65 tuổi)
Nhìn chung, không khuyến cáo điều chỉnh liều theo độ tuổi. Nên xem xét chức năng thận và nguy cơ giảm thể tích tuần hoàn (xem phần “Cảnh Báo và Thận Trọng Khi Dùng Thuốc” và “Đặc Tính Dược Động Học”).
Trẻ em
Hiệu quả và an toàn của dapagliflozin ở trẻ em từ 0 đến dưới 18 tuổi chưa được thiết lập. Hiện chưa có dữ liệu.
Cách dùng
Có thể uống FORXIGA 1 lần/ ngày vào bất kỳ lúc nào trong ngày, trong hoặc ngoài bữa ăn. Nên uống nguyên viên thuốc.
– Quá liều
Dapagliflozin không cho thấy độc tính ở người khỏe mạnh uống liều đơn đến 500 mg (gấp 50 lần liều khuyến cáo tối đa ở người). Những người này có glucose phát hiện được trong nước tiểu trong một khoảng thời gian liên quan đến liều dùng (ít nhất 5 ngày đối với liều 500 mg), không có báo cáo nào về mất nước, hạ huyết áp hoặc mất cân bằng điện giải, và không có tác động có ý nghĩa lâm sàng đến khoảng QTc. Tỷ lệ hạ đường huyết tương đương với giả dược. Trong các nghiên cứu lâm sàng sử dụng liều 1 lần hàng ngày đến 100 mg (gấp 10 lần liều khuyến cáo tối đa ở người) trên người khỏe mạnh và bệnh nhân đái tháo đường týp 2 trong 2 tuần, tỷ lệ hạ đường huyết cao hơn so với giả dược và không liên quan đến liều dùng. Tỷ lệ các biến cố ngoại ý bao gồm mất nước hoặc hạ huyết áp tương đương với giả dược, và các chỉ số xét nghiệm bao gồm các chất điện giải huyết thanh và chất đánh dấu sinh học của chức năng thận không thay đổi có ý nghĩa lâm sàng liên quan đến liều dùng.
Trong trường hợp quá liều, nên bắt đầu điều trị hỗ trợ tùy theo tình trạng lâm sàng của bệnh nhân. Việc loại trừ dapagliflozin qua lọc máu chưa được nghiên cứu.
4. Chống chỉ định
Quá mẫn với hoạt chất hoặc bất kỳ thành phần tá dược nào liệt kê trong phần “Thành phần Tá Dược”.
Bệnh nhân đang lọc máu (xem phần “Cảnh Báo và Thận Trọng Khi Dùng Thuốc”).
5. Tác dụng phụ
Tóm tắt dữ liệu an toàn
Trong các nghiên cứu lâm sàng trên bệnh nhân đái tháo đường týp 2, hơn 15.000 bệnh nhân được điều trị bằng dapagliflozin.
Đánh giá chủ yếu về độ an toàn và dung nạp thuốc đã được tiến hành trong một phân tích gộp từ 13 nghiên cứu ngắn hạn (lên đến 24 tuần) có đối chứng với giả dược, 2.360 bệnh nhân điều trị với dapagliflozin 10 mg và 2.295 bệnh nhân dùng giả dược.
Trong nghiên cứu dự hậu tim mạch của dapagliflozin (xem phần “Đặc Tính Dược Lực Học”), 8.574 bệnh nhân điều trị bằng thuốc dapagliflozin 10 mg và 8.569 bệnh nhân dùng giả dược trong khoảng thời gian điều trị trung bình là 48 tháng. Trong tổng số 30.623 bệnh nhân-năm dùng thuốc dapagliflozin
Phản ứng ngoại ý thường gặp nhất được báo cáo trong các nghiên cứu lâm sàng là nhiễm trùng đường sinh dục.
FORXIGA đã được đánh giá trong các nghiên cứu lâm sàng trên các bệnh nhân đái tháo đường týp 2, các bệnh nhân suy tim và các bệnh nhân bệnh thận mạn tính. Hồ sơ an toàn tổng thể của FORXIGA thống nhất nhau trên các chỉ định đã được nghiên cứu. Hạ đường huyết nghiêm trọng và nhiễm toan ceton do đái đường chỉ được ghi nhận ở các bệnh nhân đái tháo đường.
Bảng các phản ứng ngoại ý
Các phản ứng ngoại ý dưới đây được ghi nhận trong các thử nghiệm lâm sàng có đối chứng với giả dược và theo dõi trong quá trình lưu hành thuốc. Không có phản ứng nào liên quan đến liều dùng. Các phản ứng ngoại ý được phân loại theo tần suất và hệ cơ quan (SOC). Các nhóm tần suất được xác định theo quy ước như sau: rất thường gặp (≥ 1/10), thường gặp (≥ 1/100 đến <1/10), ít gặp (≥ 1/1.000 đến < 1/100), hiếm gặp (≥ 1/10.000 đến < 1/1.000), rất hiếm gặp (≤ 1/10.000) và không xác định (không thể ước tính từ dữ liệu có sẵn).
Bảng 2. Các phản ứng ngoại ý trong thử nghiệm lâm sàng có đối chứng với giả dược a và theo dõi trong quá trình lưu hành thuốc
Hệ cơ quan | Rất thường gặp | Thường gặp * | Ít gặp** | Hiếm gặp |
Nhiễm trùng và nhiễm ký sinh trên da và phần phụ | Viêm âm hộ – âm đạo, viêm quy đầu và các nhiễm trùng đường sinh dục*,b,c Nhiễm trùng đường tiết niệu * b,d | Nhiễm nấm** | ||
Rối loạn chuyển hóa và dinh dưỡng | Hạ đường huyết (khi sử dụng với SU hoặc insulin)b | Giảm thể tích tuần hoàn b,e Khát** | Nhiễm toan ceton do đái tháo đường b,i,j | |
Rối loạn thần kinh | Chóng mặt | |||
Rối loạn tiêu hóa | Táo bón** Khô miệng ** | |||
Rối loạn da và mô dưới da | Phát bank | |||
Rối loạn cơ xương và mô liên kết | Đau lưng* | |||
Rối loạn tại thận và đường niệu | Tiểu khó | Tiểu đêm** | ||
Rối loạn sinh dục và tuyến vú | Ngứa âm đạo- âm hộ** | |||
Cận lâm sàng | Tăng hematocritg Rối loạn lipid máuh | Tăng ure trong máu** |
a Bảng này trình bày dữ liệu đến 24 tuần (ngắn hạn) không tính đến điều trị tăng cường.
b Xem thêm thông tin ở các mục tương ứng bên dưới.
c Viêm âm đạo – âm hộ, viêm quy đầu và các nhiễm trùng đường sinh dục bao gồm các thuật ngữ khác thường được dùng như: viêm nhiễm âm đạo – âm hộ do nấm, nhiễm trùng âm đạo, viêm quy đầu, nhiễm nấm sinh dục, nhiễm nấm Candida âm đạo – âm hộ, viêm âm đạo – âm hộ, nhiễm nấm Candida quy đầu, nhiễm nấm Candida sinh dục, nhiễm trùng sinh dục, nhiễm trùng sinh dục nam giới, nhiễm trùng dương vật, viêm âm hộ, viêm âm đạo do vi khuẩn, áp-xe âm hộ.
d Nhiễm trùng đường tiết niệu bao gồm các thuật ngữ thường được dùng sau đây, được liệt kê theo thứ tự tần suất báo cáo: nhiễm trùng đường tiết niệu, viêm bàng quang, nhiễm trùng đường tiết niệu do Escherichia, nhiễm trùng đường niệu sinh dục, viêm bể thận, viêm vùng tam giác bàng quang, viêm niệu đạo, nhiễm trùng thận và viêm tuyến tiền liệt.
e Giảm thể tích tuần hoàn bao gồm các thuật ngữ khác thường được dùng như: mất nước, giảm thể tích máu, hạ huyết áp.
f Tiểu nhiều bao gồm các thuật ngữ khác thường được dùng như: tiểu nhắt, tiểu nhiều, tăng lượng nước tiểu.
g Thay đổi trung bình hematocrit so với ban đầu đối với dapagliflozin 10 mg là 2,30% và đối với giả dược là −0,33%. Giá trị hematocrit >55% được ghi nhận ở 1,3% bệnh nhân điều trị với dapagliflozin 10 mg và 0,4% đối với giả dược.
h Phần trăm thay đổi trung bình so với ban đầu của dapagliflozin 10 mg so với giả dược tương ứng như sau: cholesterol toàn phần 2,5% so với 0,0%; HDL cholesterol 6,0% so với 2,7%; LDL cholesterol 2,9% so với −1,0%; triglycerid –2,7% so với −0,7%.
i Xem phần “Cảnh Báo và Thận Trọng Khi Dùng Thuốc”.
j Báo cáo trong nghiên cứu dự hậu tim mạch ở bệnh nhân đái tháo đường týp 2. Tần số dựa trên tỷ lệ hàng năm.
k Phản ứng ngoại ý được ghi nhận trong suốt quá trình lưu hành thuốc. Phát ban bao gồm các thuật ngữ sau, được liệt kê theo thứ tự tần suất trong thử nghiệm lâm sàng: phát ban, nổi ban toàn thân, ban ngứa, ban dạng phẳng, phát ban dát sẩn, ban có mụn mủ, ban mụn nước, ban đỏ. Trong thử nghiệm lâm sàng có đối chứng và đối chứng giả dược (dapagliflozin, N=5936, nhóm chứng, N=3403), tần suất phát ban tương tự với dapagliflozin (1,4%) và nhóm chứng (1,4%).
* Ghi nhận ở ≥ 2% bệnh nhân và có thêm ≥ 1% và ít nhất 3 bệnh nhân nữ điều trị với dapagliflozin 10 mg so với giả dược.
** Ghi nhận bởi nghiên cứu viên là có thể liên quan, hầu như liên quan hoặc liên quan đến điều trị của nghiên cứu và ghi nhận ở ≥ 0,2% bệnh nhân và có thêm ≥ 1% và ít nhất 3 bệnh nhân nữ điều trị với dapagliflozin 10 mg so với giả dược.
Mô tả các phản ứng ngoại ý chọn lọc
Viêm âm đạo – âm hộ, viêm quy đầu và các nhiễm trùng đường sinh dục
Trong phân tích gộp dữ liệu an toàn của 13 nghiên cứu lâm sàng, viêm âm đạo – âm hộ, viêm quy đầu và các nhiễm trùng đường sinh dục được ghi nhận ở nhóm dùng dapagliflozin 10 mg và ở nhóm dùng giả dược tương ứng là 5,5% và 0,6%. Hầu hết các nhiễm trùng từ nhẹ đến trung bình và bệnh nhân đáp ứng với đợt đầu điều trị bằng phương pháp điều trị chuẩn và hiếm khi phải ngưng điều trị với dapagliflozin. Các nhiễm trùng này thường xảy ra hơn ở nữ giới (tương ứng là 8,4% và 1,2% đối với dapagliflozin và giả dược) và bệnh nhân có tiền sử nhiễm trùng thường hay tái phát hơn.
Trong nghiên cứu dự hậu tim mạch, số lượng bệnh nhân mắc phải biến cố ngoại ý nghiêm trọng là nhiễm trùng sinh dục thì ít và phân bổ đều: 2 bệnh nhân trong mỗi nhóm dapagliflozin và giả dược.
Hạ đường huyết
Tần suất hạ đường huyết phụ thuộc vào trị liệu nền sử dụng trong mỗi nghiên cứu.
Trong các nghiên cứu dapagliflozin đơn trị liệu, trị liệu phối hợp bổ sung với metformin hoặc phối hợp bổ sung với sitagliptin (cùng hoặc không cùng với metformin) đến 102 tuần điều trị, tần suất các cơn hạ đường huyết nhẹ tương đương nhau (< 5%) giữa các nhóm điều trị, kể cả nhóm dùng giả dược. Trong tất cả các nghiên cứu, các cơn hạ đường huyết nặng ít gặp và tương đương nhau ở nhóm điều trị với dapagliflozin hoặc giả dược. Các nghiên cứu trị liệu phối hợp bổ sung với sulfonylurê (SU) và với insulin có tỷ lệ hạ đường huyết cao hơn (xem phần “Tương Tác Tương Kỵ Của Thuốc”).
Trong một nghiên cứu phối hợp bổ sung với glimepirid, ở tuần 24 và 48, các cơn hạ đường huyết nhẹ thường gặp hơn ở nhóm điều trị với dapagliflozin 10 mg và glimepirid (tương ứng là 6,0% và 7,9%) so với nhóm dùng giả dược và glimepirid (tương ứng là 2,1% và 2,1%).
Trong một nghiên cứu phối hợp bổ sung với insulin, ở tuần 24 và tuần 104 các cơn hạ đường huyết nặng ở nhóm điều trị với dapagliflozin 10 mg phối hợp với insulin tương ứng là 0,5% và 1,0% và ở nhóm dùng giả dược phối hợp với insulin là 0,5%. Ở tuần 24 và tuần 104, các cơn hạ đường huyết nhẹ ở nhóm điều trị với dapagliflozin 10 mg phối hợp với insulin tương ứng là 40,3% và 53,1% và ở nhóm dùng giả dược phối hợp với insulin tương ứng là 34,0% và 41,6%. Trong một nghiên cứu phối hợp bổ sung với metformin và 1 thuốc sulfonylurea, lên đến 24 tuần, không ghi nhận các cơn hạ đường huyết nặng. Các cơn hạ đường huyết nhẹ được ghi nhận ở 12,8% bệnh nhân ở nhóm điều trị với dapagliflozin 10 mg phối hợp với metformin và 1 thuốc sulfonylurea và ở 3,7% bệnh nhân ở nhóm dùng giả dược phối hợp với metformin và 1 thuốc sulfonylurea.
Trong nghiên cứu dự hậu tim mạch của dapagliflozin, không có tăng nguy cơ hạ đường huyết nặng ở nhóm điều trị bằng thuốc dapagliflozin so với nhóm dùng giả dược. Biến cố hạ đường huyết nặng được ghi nhận ở 58 bệnh nhân (0,7%) đang điều trị bằng thuốc dapagliflozin và 83 bệnh nhân (1,0%) đang điều trị bằng giả dược.
Giảm thể tích tuần hoàn
Trong phân tích gộp dữ liệu an toàn thuốc của 13 nghiên cứu lâm sàng, các phản ứng liên quan đến giảm thể tích (bao gồm mất nước, giảm thể tích máu hoặc hạ huyết áp) đã được ghi nhận ở nhóm dùng dapagliflozin 10 mg và ở nhóm dùng giả dược tương ứng là 1,1% và 0,7%; các phản ứng nghiêm trọng xảy ra ở < 0,2% bệnh nhân tương đương nhau ở nhóm dùng dapagliflozin 10 mg và nhóm dùng giả dược (xem phần “Cảnh Báo và Thận Trọng Khi Dùng Thuốc”).
Trong nghiên cứu dự hậu tim mạch của dapagliflozin, số lượng bệnh nhân mắc phải biến cố giảm thể tích được ghi nhận phân bổ đều giữa các nhóm điều trị: 213 (2,5%) ở nhóm dùng dapagliflozin và 207 (2,4%) trong nhóm dùng giả dược. Biến cố ngoại ý nặng được ghi nhận ở 81 (0,9%) trong nhóm dapagliflozin và 70 (0,8%) trong nhóm giả dược. Biến cố ngoại ý thường phân bổ đều giữa các nhóm điều trị trải đều trên các phân nhóm nhỏ về tuổi tác, dùng thuốc lợi tiểu, tăng huyết áp và dùng thuốc ức chế thụ thể angiotensin/ ức chế men chuyển angiotensin. Ở bệnh nhân vào thời điểm khởi đầu có eGFR < 60 mL/phút/1,73 m2, có 19 bệnh nhân có biến cố ngoại ý nặng liên quan đến giảm thể tích tuần hoàn trong nhóm dapagliflozin và 13 bệnh nhân có biến cố ngoại ý trong nhóm giả dược.
Nhiễm toan ceton do đái tháo đường
Trong nghiên cứu dự hậu tim mạch của dapagliflozin, với thời gian dùng thuốc lên đến 48 tháng, ghi nhận có 27 bệnh nhân có biến cố ngoại ý nhiễm toan ceton do đái tháo đường trong nhóm điều trị với dapagliflozin 10 mg và có 12 bệnh nhân trong nhóm điều trị giả dược. Biến cố ngoại ý xảy ra rải đều trong suốt khoảng thời gian nghiên cứu. Trong số 27 bệnh nhân bị nhiễm toan ceton do đái tháo đường trong nhóm dapagliflozin, có 22 bệnh nhân đang điều trị đồng thời với insulin vào thời điểm xảy ra biến cố ngoại ý. Yếu tố nguy cơ nhiễm toan ceton do đái tháo đường đã được dự đoán ở nhóm dân số đái tháo đường týp 2 (xem phần “Cảnh Báo và Thận Trọng Khi Dùng Thuốc”).
Nhiễm trùng đường tiết niệu
Trong phân tích gộp dữ liệu an toàn thuốc của 13 nghiên cứu lâm sàng, nhiễm trùng đường tiết niệu được ghi nhận thường xuyên hơn đối với bệnh nhân dùng dapagliflozin 10 mg so với giả dược (tương ứng là 4,7% và 3,5%; xem phần “Cảnh Báo và Thận Trọng Khi Dùng Thuốc”). Hầu hết các nhiễm trùng từ nhẹ đến trung bình và bệnh nhân đáp ứng với đợt đầu điều trị bằng phác đồ điều trị chuẩn và hiếm khi phải ngưng điều trị với dapagliflozin. Các nhiễm trùng này thường xảy ra hơn ở nữ giới và bệnh nhân có tiền sử bệnh thường hay tái phát hơn.
Trong nghiên cứu dự hậu tim mạch của dapagliflozin, biến cố ngoại ý nặng của nhiễm trùng tiết niệu được ghi nhận ít thường xuyên ở nhóm dapagliflozin so với nhóm giả dược, có 79 (0,9%) bệnh nhân bị nhiễm trùng tiết niệu ở nhóm dapagliflozin so với 109 (1,3%) bệnh nhân bị nhiễm trùng tiết niệu ở nhóm giả dược.
Nghiên cứu suy tim DAPA-HF
Không có phản ứng ngoại ý mới được xác định trong nghiên cứu suy tim DAPA-HE.
Nghiên cứu bệnh thận mạn tính DAPA-CKD
Không có phản ứng ngoại ý mới được xác định trong nghiên cứu DAPA-CKD trên bệnh nhân bị bệnh thận mạn tính.
Báo cáo về các phản ứng ngoại ý nghi ngờ
Báo cáo các phản ứng ngoại ý nghi ngờ sau khi các sản phẩm dược được cấp phép rất quan trọng. Điều này cho phép theo dõi liên tục sự cân bằng giữa lợi ích và nguy cơ của các sản phẩm dược. Các chuyên gia y tế được yêu cầu báo cáo các phản ứng ngoại ý nghi ngờ.
6. Lưu ý |
– Thận trọng khi sử dụngTổng quát Không được sử dụng FORXIGA cho bệnh nhân đái tháo đường týp 1 hoặc để điều trị nhiễm toan ceton do đái tháo đường. Suy giảm chức năng thận FORXIGA được đánh giá trên 4304 bệnh nhân bị bệnh thận mạn tính (eGFR từ 25 đến 75 mL/phút/1,73 m2) trong nghiên cứu DAPA-CKD. FORXIGA cũng được đánh giá ở 1926 bệnh nhân với eGFR từ 30 đến 60 mL/phút/1,73 m2 trong nghiên cứu DAPA-HF. Hồ sơ an toàn của FORXIGA trên các phân nhóm eGFR trong các nghiên cứu này thống nhất với hồ sơ an toàn đã biết (xem phần “Đặc Tính Dược Lực Học). FORXIGA được đánh giá trong hai nghiên cứu kiểm soát đường huyết trên bệnh nhân bị đái tháo đường týp 2 có suy giảm chức năng thận mức độ trung bình (eGFR từ 45 đến nhỏ hơn 60 mL/phút/1,73 m2 (xem phần “Đặc Tính Dược Lực Học”), và bệnh nhân có eGFR từ 30 đến nhỏ hơn 60 mL/phút/1,73 m2, tương ứng). Bệnh nhân bị đái tháo đường và suy giảm chức năng thận sử dụng FORXIGA có thể dễ bị hạ huyết áp và có nguy cơ cao hơn bị tổn thương thận cấp tính thứ phát sau giảm thể tích tuần hoàn. Trong nghiên cứu trên các bệnh nhân có eGFR từ 30 đến nhỏ hơn 60 mL/phút/1,73 m, có 13 bệnh nhân bị gãy xương trong nhóm dùng FORXIGA so với không có bệnh nhân nào ở nhóm dùng giả dược. Không khuyến cáo sử dụng FORXIGA để kiểm soát đường huyết ở những bệnh nhân không có tiền sử bệnh lý tim mạch hoặc nhiều yếu tố nguy cơ tim mạch khi eGFR nhỏ hơn 45 mL/phút/1,73 m2 (xem phần “Cách Dùng, Liều Dùng”). Các nghiên cứu về hiệu quả và an toàn của FORXIGA không thu nhận bệnh nhân có eGFR nhỏ hơn 25 mL/phút/1,73 m2. FORXIGA chống chỉ định ở bệnh nhân đang lọc máu. Bệnh nhân suy giảm chức năng gan Kinh nghiệm lâm sàng trên bệnh nhân suy giảm chức năng gan còn hạn chế. Nồng độ và thời gian tiếp xúc của dapagliflozin tăng ở bệnh nhân suy giảm chức năng gan nặng (xem phần “Cách Dùng, Liều Dùng” và “Đặc Tính Dược Động Học”). Người cao tuổi (≥ 65 tuổi) Bệnh nhân cao tuổi có thể có nguy cơ giảm thể tích tuần hoàn cao hơn và có khuynh hướng được điều trị với thuốc lợi tiểu. Bệnh nhân cao tuổi thường có suy giảm chức năng thận và/ hoặc sử dụng thuốc hạ áp có thể làm thay đổi chức năng thận như thuốc ức chế men chuyển angiotensin (ACE-I) và thuốc chẹn thụ thể angiotensin II týp 1 (ARB). Những khuyến cáo về chức năng thận cũng được áp dụng cho bệnh nhân cao tuổi và tất cả các đối tượng bệnh nhân (xem phần “Cách Dùng, Liều Dùng”, “Cảnh Báo và Thận Trọng Khi Dùng Thuốc”, “Tác Dụng Không Mong Muốn Của Thuốc” và “Đặc Tính Dược Lực Học”). Trong cả hai nghiên cứu DAPA-HF và DAPA-CKD, tính an toàn và hiệu quả là tương đương ở bệnh nhân từ 65 tuổi trở xuống và bệnh nhân trên 65 tuổi. Trong nghiên cứu DAPA-HF, có 2714 (57%) bệnh nhân trên 65 tuổi trong tổng số 4744 bệnh nhân suy tim với phân suất tống máu giảm. Trong nghiên cứu DAPA-CKD, có 1818 (42%) bệnh nhân trên 65 tuổi trong tổng số 4303 bệnh nhân bị bệnh thận mạn tính. Sử dụng cho bệnh nhân có nguy cơ giảm thể tích tuần hoàn và/hoặc hạ huyết áp Do cơ chế tác dụng, dapagliflozin làm tăng bài tiết nước tiểu có thể dẫn đến giảm huyết áp ở mức trung bình được quan sát thấy trong các nghiên cứu lâm sàng (xem phần “Đặc Tính Dược Lực Học”) có thể biểu hiện rõ hơn ở bệnh nhân có nồng độ glucose trong máu rất cao. Nên thận trọng đối với bệnh nhân có nguy cơ tụt huyết áp do dapagliflozin, như bệnh nhân đang điều trị với thuốc hạ huyết áp có tiền sử huyết áp thấp hoặc bệnh nhân cao tuổi. Trong trường hợp xuất hiện những điều kiện có thể dẫn đến giảm thể tích tuần hoàn (như bệnh đường tiêu hóa), cần theo dõi cẩn thận tình trạng thể tích (như khám tổng quát, đo huyết áp, xét nghiệm bao gồm hematocrit) và chất điện giải. Nên tạm ngưng điều trị với dapagliflozin cho bệnh nhân đang bị giảm thể tích tuần hoàn cho đến khi đã điều chỉnh được tình trạng giảm thể tích (xem phần “Tác Dụng Không Mong Muốn Của Thuốc”). Nhiễm toan ceton do đái tháo đường Nên sử dụng các thuốc ức chế protein đồng vận chuyển Na-glucose 2 (SGLT2) thận trọng ở những bệnh nhân tăng nguy cơ nhiễm toan ceton do đái tháo đường (DKA). Bệnh nhân có thể có nguy cơ cao nhiễm toan ceton do đái tháo đường gồm bệnh nhân có dự trữ chức năng tế bào beta thấp (như bệnh nhân đái tháo đường týp 2 có C-peptid thấp hoặc đái tháo đường tự miễn tiềm ẩn ở người lớn (LADA) hoặc bệnh nhân có tiền sử viêm tụy), bệnh nhân bị hạn chế hấp thu lượng thức ăn hoặc mất nước nặng, bệnh nhân giảm liều insulin và bệnh nhân tăng nhu cầu insulin do bệnh cấp tính, phẫu thuật hoặc nghiện rượu. Nên sử dụng các thuốc ức chế SGLT2 thận trọng ở những bệnh nhân này. Nguy cơ nhiễm toan ceton do đái tháo đường phải được xem xét trong trường hợp có những triệu chứng không điển hình như buồn nôn, nôn ói, chán ăn, đau bụng, khát nước, khó thở, bối rối, mệt mỏi bất thường hoặc buồn ngủ. Bệnh nhân nên được đánh giá nhiễm toan ceton ngay lập tức nếu xuất hiện các triệu chứng trên, bất kể mức đường huyết là bao nhiêu. Trước khi bắt đầu dùng dapagliflozin, nên xem xét các yếu tố có thể dẫn đến nhiễm toan ceton trong tiền sử bệnh nhân. Nên tạm ngưng điều trị ở những bệnh nhân nhập viện để phẫu thuật lớn hoặc bệnh nghiêm trọng cấp tính. Trong cả hai trường hợp, có thể sử dụng lại dapagliflozin khi tình trạng bệnh nhân đã ổn định. Những trường hợp hiếm gặp của nhiễm toan ceton do đái tháo đường (DKA), bao gồm cả những trường hợp đe dọa tính mạng và gây tử vong, đã được ghi nhận ở bệnh nhân được điều trị bằng các thuốc ức chế SGLT2, bao gồm dapagliflozin. Trong một số trường hợp, bệnh xuất hiện không điển hình với mức đường huyết máu chỉ tăng trung bình, dưới 14 mmol/L (250 mg/dL). Nên ngưng điều trị dapagliflozin ngay lập tức ở những bệnh nhân nghi ngờ hoặc chẩn đoán nhiễm toan ceton do đái tháo đường. Không khuyến cáo sử dụng lại thuốc ức chế SGLT2 ở những bệnh nhân có DKA khi điều trị bằng thuốc ức chế SGLT2 trước đây, trừ khi yếu tố rõ ràng khác được xác định và giải quyết triệt để. Bệnh nhân đái tháo đường týp 1 DKA đã được báo cáo với tần suất thường gặp trong các nghiên cứu dapagliflozin trên bệnh nhân đái tháo đường týp 1. Không nên dùng dapagliflozin để điều trị bệnh nhân đái tháo đường týp 1. Nhiễm trùng đường tiết niệu Sự bài tiết glucose niệu có thể liên quan đến tăng nguy cơ nhiễm trùng đường tiết niệu; do đó, nên xem xét tạm ngưng dapagliflozin trong khi đang điều trị viêm thận-bể thận hoặc nhiễm trùng đường tiết niệu. Xét nghiệm nước tiểu Do cơ chế tác dụng của thuốc, bệnh nhân sử dụng FORXIGA sẽ có kết quả dương tính với glucose trong nước tiểu. Lactose Viên thuốc có chứa lactose (khan). Bệnh nhân có các rối loạn di truyền hiếm gặp như rối loạn dung nạp galactose, thiếu Lapp lactase hoặc bất thường hấp thu glucose-galactose không nên sử dụng thuốc này. Viêm mô hoại tử vùng đáy chậu (hoại tử Fournier) Các trường hợp bị viêm mô hoại tử vùng đáy chậu (còn được gọi là hoại tử Fournier) sau khi thuốc lưu hành trên thị trường đã được báo cáo ở bệnh nhân nữ và nam dùng thuốc ức chế SGLT2. Đây là một biến cố hiếm gặp nhưng nghiêm trọng và có khả năng đe dọa tính mạng cần can thiệp phẫu thuật khẩn cấp và điều trị kháng sinh. Bệnh nhân nên tìm kiếm sự chăm sóc y tế nếu có các triệu chứng kết hợp của đau, nhức, ban đỏ hoặc sưng ở vùng sinh dục hoặc đáy chậu, kèm theo sốt hoặc khó chịu. Cần biết rằng nhiễm trùng niệu sinh dục hoặc áp xe vùng đáy chậu có thể báo trước viêm mô hoại tử. Nếu nghi ngờ hoại tử Fournier, nên ngừng dùng FORXIGA và tiến hành điều trị kịp thời (bao gồm cả kháng sinh và phẫu thuật cắt bỏ). Cắt cụt chi dưới Sự gia tăng các trường hợp cắt cụt chi dưới (chủ yếu là ngón chân) đã được quan sát thấy trong các nghiên cứu lâm sàng dài hạn ở bệnh nhân đái tháo đường týp 2 với thuốc ức chế SGLT2. Không biết liệu đây có phải ảnh hưởng của nhóm thuốc hay không. Điều quan trọng là phải tư vấn cho bệnh nhân đái tháo đường cách chăm sóc bàn chân định kỳ để phòng ngừa. – Thai kỳ và cho con búPhụ nữ có thai Chưa có dữ liệu về sử dụng dapagliflozin ở phụ nữ có thai. Các nghiên cứu trên chuột cho thấy độc tính trên thận đang phát triển ở giai đoạn tương ứng với 3 tháng giữa và 3 tháng cuối của thai kỳ ở người. Do đó, không khuyến cáo sử dụng dapagliflozin trong 3 tháng giữa và 3 tháng cuối của thai kỳ. Khi phát hiện có thai, nên ngưng điều trị với dapagliflozin. Cho con bú Chưa biết được dapagliflozin và/ hoặc chất chuyển hóa có bài tiết vào sữa ở người hay không Dữ liệu dược lực học/ độc tính trên động vật cho thấy dapagliflozin/ chất chuyển hóa bài tiết vào sữa, cũng như có tác động dược lý đến thú con được nuôi bằng sữa mẹ. Không thể bỏ qua nguy cơ trên trẻ sơ sinh/ trẻ nhỏ. Không nên sử dụng dapagliflozin khi đang cho con bú. Khả năng sinh sản Chưa nghiên cứu tác động của dapagliflozin đến khả năng sinh sản ở người. Ở chuột đực và chuột cái, dapagliflozin không có tác động đến khả năng sinh sản ở bất kỳ liều thử nghiệm nào. – Khả năng lái xe và vận hành máy mócFORXIGA không ảnh hưởng hoặc ảnh hưởng không đáng kể đến khả năng lái xe và vận hành máy. Bệnh nhân nên được cảnh báo về nguy cơ hạ đường huyết khi sử dụng dapagliflozin phối hợp với sulfonylurê hoặc insulin. – Tương tác thuốcTương tác dược lực học Thuốc lợi tiểu Dapagliflozin có thể làm tăng tác dụng lợi tiểu của thiazid, thuốc lợi tiểu quai và có thể làm tăng nguy cơ mất nước và hạ huyết áp (xem phần “Cảnh Báo và Thận Trọng Khi Dùng Thuốc”). Insulin và các thuốc kích thích tiết insulin Insulin và các thuốc kích thích tiết insulin như sulfonylurê có thể gây hạ đường huyết. Do đó, cần sử dụng liều thấp insulin hoặc thuốc kích thích tiết insulin để hạn chế nguy cơ hạ đường huyết khi sử dụng phối hợp với dapagliflozin (xem phần “Cách Dùng, Liều Dùng” và “Tác Dụng Không Mong Muốn Của Thuốc”). Tương tác dược động học Dapagliflozin chuyển hóa chủ yếu theo con đường kết hợp glucuronid gián tiếp qua UDP glucuronosyltransferase 1A9 (UGT1A9). Trong các nghiên cứu in vitro, dapagliflozin không ức chế cytochrom P450 (CYP) 1A2, CYP2A6, CYP2B6, CYP2C8, CYP2C9, CYP2C19, CYP2D6, CYP3A4, cũng không gây cảm ứng CYP1A2, CYP2B6 hoặc CYP3A4. Do đó, dapagliflozin không ảnh hưởng đến sự thanh thải qua chuyển hóa của các thuốc được chuyển hóa qua các enzym trên khi dùng chung. Tác động của các thuốc khác trên dapagliflozin Các nghiên cứu về tương tác tiến hành trên người khỏe mạnh, chủ yếu sử dụng thiết kế liều đơn, cho thấy dược động học của dapagliflozin không bị ảnh hưởng bởi metformin, pioglitazon, sitagliptin, glimepirid, voglibose, hydrochlorothiazid, bumetanid, valsartan, hoặc simvastatin. Khi sử dụng đồng thời dapagliflozin với rifampicin (chất cảm ứng nhiều chất vận chuyển tích cực và các enzym chuyển hóa thuốc), đã ghi nhận nồng độ và thời gian tiếp xúc (AUC) của dapagliflozin giảm 22%, nhưng không có tác động có ý nghĩa lâm sàng đến bài tiết glucose vào nước tiểu trong 24 giờ. Không khuyến cáo điều chỉnh liều. Không có tác động có ý nghĩa lâm sàng với các chất cảm ứng khác (như carbamazepin, phenytoin, phenobarbital). Khi sử dụng đồng thời dapagliflozin với mefenamic acid (chất ức chế UGT1A9), đã ghi nhận nồng độ và thời gian tiếp xúc của dapagliflozin tăng 55%, nhưng không có tác động có ý nghĩa lâm sàng đến bài tiết glucose vào nước tiểu trong 24 giờ. Không khuyến cáo điều chỉnh liều. Tác động của dapagliflozin trên các thuốc khác Dapagliflozin có thể làm tăng bài tiết lithi ở thận và nồng độ lithi trong máu có thể giảm. Nồng độ lithi trong huyết thanh nên được theo dõi thường xuyên hơn sau khi khởi trị và thay đổi liều dapagliflozin. Bệnh nhân nên đến bác sĩ đã kê đơn lithi để theo dõi nồng độ lithi trong huyết thanh. Trong các nghiên cứu về tương tác được tiến hành trên người khỏe mạnh, chủ yếu sử dụng thiết kế liều đơn, dapagliflozin không ảnh hưởng đến dược động học của metformin, pioglitazon, sitagliptin, glimepirid, hydrochlorothiazid, bumetanid, valsartan, digoxin (một chất nền của P-gp) hoặc warfarin (S-warfarin, một chất nền của CYP2C9), hoặc tác dụng chống động của warfarin đo bằng INR. Phối hợp liều đơn dapagliflozin 20 mg và simvastatin (một chất nền của CYP3A4) làm tăng 19% AUC của simvastatin và tăng 31% AUC của acid simvastatin. Tăng nồng độ và thời gian tiếp xúc của simvastatin và acid simvastatin không có ý nghĩa lâm sàng. Xét nghiệm định lượng 1,5-anhydroglucitol (1,5-AG) Theo dõi việc kiểm soát đường huyết bằng xét nghiệm định lượng 1,5-AG không được khuyến cáo vì phép đo 1,5-AG không tin cậy trong đánh giá kiểm soát đường huyết ở bệnh nhân sử dụng thuốc ức chế SGLT2. Khuyên dùng các phương pháp thay thế để theo dõi việc kiểm soát đường huyết. Trẻ em Các nghiên cứu về tương tác chỉ được thực hiện trên người lớn. |
7. Dược lý
– Dược động học (Tác động của cơ thể với thuốc)
Hấp thu
Dapagliflozin hấp thu tốt và nhanh sau khi uống. Nồng độ dapagliflozin tối đa trong huyết tương (Cmax) thường đạt được trong vòng 2 giờ sau khi uống thuốc lúc đói. Trung bình nhân Cmax và AUCT, ở trạng thái ổn định sau khi uống dapagliflozin 10 mg, 1 lần/ngày tương ứng là 158 ng/mL và 628 ng giờ/mL. Sinh khả dụng tuyệt đối đường uống của dapagliflozin sau khi dùng liều 10 mg là 78%. Dùng thuốc với bữa ăn giàu chất béo làm giảm Cmax của dapagliflozin đến 50% và kéo dài Tmax khoảng 1 giờ, nhưng không ảnh hưởng đến AUC so với dùng thuốc khi đói. Những thay đổi này không có ý nghĩa lâm sàng. Do đó, FORXIGA có thể uống trong hoặc ngoài bữa ăn.
Phân bố
Dapagliflozin gắn kết với protein khoảng 91%. Gắn kết protein không bị ảnh hưởng do các tình trạng bệnh khác nhau (như suy giảm chức năng gan hoặc suy giảm chức năng thận). Thể tích phân bố trung bình của dapagliflozin ở trạng thái ổn định là 118 lít.
Chuyển hóa
Dapagliflozin chuyển hóa mạnh và chủ yếu thành dapagliflozin 3-O-glucuronid là chất chuyển hóa không có hoạt tính. Dapagliflozin 3-O-glucuronid hoặc các chất chuyển hóa khác không đóng góp vào tác dụng giảm glucose máu. Dapagliflozin 3-O-glucuronid được tạo thành thông qua UGT1A9, một enzym có ở gan và thận, và sự chuyển hóa qua CYP là con đường thanh thải thứ yếu ở người.
Thải trừ
Thời gian bán thải trung bình (t1/2) của dapagliflozin ở người khỏe mạnh là 12,9 giờ sau khi uống liều dapagliflozin 10 mg. Độ thanh thải toàn phần trung bình của dapagliflozin khi tiêm tĩnh mạch là 207 mL/phút. Dapagliflozin và các chất chuyển hóa liên quan thải trừ chủ yếu qua thận vào nước tiểu với dạng dapagliflozin không đổi ít hơn 2%. Sau khi dùng [C]-dapagliflozin 50 mg, 96% được tìm thấy, 75% trong nước tiểu và 21% trong phân. Trong phân, khoảng 15% liều dùng được bài tiết dưới dạng thuốc nguyên thủy.
Tuyến tính
Nồng độ và thời gian tiếp xúc của dapagliflozin tăng tỷ lệ với mức liều dapagliflozin trong khoảng 0,1 đến 500 mg và dược động học không thay đổi theo thời gian dùng thuốc mỗi ngày cho đến 24 tuần.
Đối tượng đặc biệt
Suy giảm chức năng thận
Ở trạng thái ổn định (20 mg dapagliflozin 1 lần/ ngày trong 7 ngày), bệnh nhân đái tháo đường týp 2 bị suy giảm chức năng thận nhẹ, trung bình hoặc nặng (được xác định bằng độ thanh thải huyết thanh iohexol) có nồng độ và thời gian tiếp xúc trung bình của dapagliflozin cao hơn tương ứng 32%, 60% và 87% so với bệnh nhân đái tháo đường týp 2 có chức năng thận bình thường. Sự bài tiết glucose qua nước tiểu ở trạng thái ổn định 24 giờ phụ thuộc nhiều vào chức năng thận và lượng glucose bài tiết ở bệnh nhân đái tháo đường týp 2 có chức năng thận bình thường, suy giảm chức năng thận nhẹ, trung bình hoặc nặng tương ứng là 85, 52, 18 và 11 ng glucose/ngày. Chưa biết ảnh hưởng của lọc máu đến nồng độ và thời gian tiếp xúc của dapagliflozin.
Suy giảm chức năng gan
Ở bệnh nhân suy giảm chức năng gan nhẹ và trung bình (phân loại Child-Pugh A và B), trung bình Cmax và AUC của dapagliflozin cao hơn tương ứng 12% và 36% so với ở nhóm đối chứng khỏe mạnh. Những khác biệt này không có ý nghĩa lâm sàng. Ở bệnh nhân suy giảm chức năng gan nặng (Child-Pugh nhóm C), trung bình Cmax và AUC của dapagliflozin cao hơn tương ứng 40% và 67% so với nhóm đối chứng khỏe mạnh.
Người cao tuổi (≥ 65 tuổi)
Ở bệnh nhân dưới 70 tuổi, nồng độ và thời gian tiếp xúc tăng không có ý nghĩa thống kê theo độ tuổi. Tuy nhiên, nồng độ và thời gian tiếp xúc có thể tăng do giảm chức năng thận theo tuổi tác. Chưa có đầy đủ dữ liệu để kết luận về nồng độ và thời gian tiếp xúc ở bệnh nhân > 70 tuổi. Trẻ em
Chưa nghiên cứu dược động học ở trẻ em.
Giới tính
Ước tính AUCss trung bình của dapagliflozin ở nữ giới cao hơn ở nam giới khoảng 22%.
Chủng tộc
Nồng độ và thời gian tiếp xúc ở người da trắng, da màu hoặc châu Á không khác biệt có ý nghĩa lâm sàng.
Cân nặng
Nồng độ và thời gian tiếp xúc của dapagliflozin giảm khi cân nặng tăng. Do đó, nồng độ và thời gian tiếp xúc có thể tăng ở bệnh nhân nhẹ cân và giảm ở bệnh nhân nặng cân. Tuy nhiên, khác biệt nồng độ và thời gian tiếp xúc không có ý nghĩa lâm sàng.
– Dược lực học (Tác động của thuốc lên cơ thể)
Nhóm tác dụng trị liệu: thuốc sử dụng trong đái tháo đường, thuốc ức chế protein đồng vận chuyển Na-glucose 2 (SGLT2), mã ATC: A10BK01.
Cơ chế tác dụng
Dapagliflozin có hiệu lực ức chế mạnh (Ki: 0,55 nM), ức chế chọn lọc và thuận nghịch đối với SGLT2.
SGLT2 xuất hiện chọn lọc ở thận và không phát hiện thấy ở hơn 70 mô khác kể cả gan, cơ vân, mô mỡ, vú, bàng quang và não. SGLT2 là yếu tố vận chuyển chủ yếu để tái hấp thu glucose từ ống tiểu quản thận vào tuần hoàn. Mặc dù đường huyết tăng trong đái tháo đường týp 2, quá trình tái hấp thu glucose đã được lọc vẫn tiếp tục. Dapagliflozin cải thiện cả mức đường huyết đói và đường huyết sau khi ăn bằng cách giảm tái hấp thu glucose tại thận dẫn đến bài tiết glucose vào nước tiểu. Sự bài tiết glucose (tác dụng tăng glucose niệu) được ghi nhận sau liều đầu tiên, tiếp tục qua 24 giờ dùng thuốc và duy trì trong suốt quá trình điều trị. Lượng glucose thải qua thận theo cơ chế này phụ thuộc vào nồng độ glucose trong máu và độ lọc cầu thận (GFR). Dapagliflozin không làm suy giảm quá trình sản xuất glucose nội sinh do giảm glucose trong máu. Dapagliflozin tác động độc lập với sự bài tiết insulin và tác dụng của insulin. Đã ghi nhận sự cải thiện chỉ số mô hình đánh giá chức năng tế bào bêta bằng hằng định nội môi (HOMA beta-cell) trong các nghiên cứu lâm sàng với FORXIGA.
Tăng bài tiết glucose qua nước tiểu (glucuresis) do dapagliflozin có liên quan đến giảm năng lượng và giảm cân. Ức chế sự đồng vận chuyển glucose và natri do dapagliflozin cũng liên quan đến lợi tiểu nhẹ và tăng natri niệu thoáng qua.
Dapagliflozin không ức chế các yếu tố vận chuyển glucose quan trọng để vận chuyển glucose vào mô ngoại biên và đặc hiệu trên SGLT2 > 1,400 lần so với SGLT1 là yếu tố vận chuyển chủ yếu để hấp thu glucose ở ruột.
Tác động dược động học
Sau khi dùng dapagliflozin, tăng lượng glucose bài tiết qua nước tiểu được ghi nhận ở người khỏe mạnh và ở bệnh nhân đái tháo đường týp 2. Khoảng 70 g glucose bài tiết vào nước tiểu mỗi ngày (tương đương 280 kcal/ ngày) ở liều dapagliflozin 10 mg/ ngày ở bệnh nhân đái tháo đường týp 2 trong 12 tuần. Đã có bằng chứng về sự bài tiết glucose ở bệnh nhân đái tháo đường týp 2 dùng dapagliflozin 10 mg/ ngày duy trì đến 2 năm.
Sự bài tiết glucose vào nước tiểu do dapagliflozin cũng gây ra tác dụng lợi tiểu thẩm thấu và làm tăng lượng nước tiểu ở bệnh nhân đái tháo đường týp 2. Tăng thể tích nước tiểu ở bệnh nhân đái tháo đường týp 2 điều trị với dapagliflozin 10 mg kéo dài đến 12 tuần và với lượng khoảng 375 ml/ ngày. Tăng lượng nước tiểu liên quan đến tăng natri niệu nhẹ và thoáng qua không làm thay đổi nồng độ natri huyết thanh.
Sự bài tiết acid uric qua nước tiểu cũng tăng thoáng qua (trong 3 – 7 ngày) và kèm theo giảm acid uric huyết thanh kéo dài. Ở tuần 24, acid uric huyết thanh giảm từ -48,3 đến -18,3 micromol/L (-0,87 đến -0,33 mg/dL).
Hiệu quả và an toàn lâm sàng
Cả cải thiện kiểm soát đường huyết và giảm tỷ lệ bệnh và tử vong tim mạch là mục tiêu quan trọng trong điều trị bệnh đái tháo đường týp 2.
14 thử nghiệm lâm sàng mù đôi, ngẫu nhiên, có đối chứng được thực hiện trên 7.056 bệnh nhân đái tháo đường týp 2 nhằm đánh giá hiệu quả kiểm soát đường huyết và an toàn của FORXIGA 4.737 bệnh nhân trong các thử nghiệm này được điều trị với dapagliflozin. 12 nghiên cứu có khoảng thời gian điều trị là 24 tuần, 8 nghiên cứu mở rộng dài hạn từ 24 đến 80 tuần (tổng thời gian nghiên cứu là 104 tuần), một nghiên cứu có khoảng thời gian điều trị là 28 tuần và 1 nghiên cứu 52 tuần mở rộng dài hạn thêm 52 và 104 tuần (tổng thời gian nghiên cứu 208 tuần). Thời gian trung bình bị đái tháo đường từ 1,4 đến 16,9 năm. 50% bệnh nhân có suy giảm chức năng thận nhẹ và 11% suy giảm chức năng thận trung bình. 51% bệnh nhân nam, 84% người da trắng, 8% người châu Á, 4% người da màu và 4% thuộc các chủng tộc khác. 81% bệnh nhân có chỉ số khối cơ thể (BMI) ≥ 27. Hơn nữa, đã có 2 nghiên cứu 12 tuần, có đối chứng với giả dược được thực hiện trên bệnh nhân đái tháo đường týp 2 chưa kiểm soát tốt đường huyết và tăng huyết áp.
Nghiên cứu dự hậu tim mạch (DECLARE) đã được thực hiện với dapagliflozin 10 mg, so với giả dược trên 17.160 bệnh nhân đái tháo đường týp 2 có hay chưa có tiền sử bệnh lý tim mạch để đánh giá tác động của thuốc trên tim mạch và thận.
Kiểm soát đường huyết
Đơn trị liệu
Một nghiên cứu mù đôi, có đối chứng với giả dược trong 24 tuần (có giai đoạn mở rộng) được tiến hành nhằm đánh giá an toàn và hiệu quả của FORXIGA đơn trị liệu trên bệnh nhân đái tháo đường týp 2 chưa kiểm soát tốt đường huyết. Điều trị với dapagliflozin 1 lần/ ngày làm giảm HbA1c có ý nghĩa thống kê (p < 0,0001) so với giả dược (Bảng 3).
Ở giai đoạn mở rộng, giảm HbA1c duy trì suốt 102 tuần (thay đổi trung bình hiệu chỉnh so với ban đầu đối với dapagliflozin 10 mg và giả dược tương ứng là -0,61% và -0,17%).
Bảng 3: Kết quả ở tuần 24 (LOCFa) của nghiên cứu dapagliflozin đơn trị liệu có đối chứng với giả dược
Đơn trị liệu | ||
Dapagliflozin 10 mg | Giả dược | |
Nb | 70 | 75 |
HbA1c (%) Ban đầu (trung bình) Thay đổi so với ban đầuc Khác biệt so với giả dượcc (95% Cl) |
8.01 -0,89 -0,66* (-0,96; -0,36) | 7,79 -0,23
|
Tỷ lệ bệnh nhân đạt HbA1c <7% Hiệu chỉnh theo giá trị ban đầu | 50,8s | 31,6 |
Cân nặng (kg) Ban đầu (trung bình) Thay đổi so với ban đầuc Khác biệt so với giả dượcc (95% Cl) |
94,13 -3,16 -0,97 (-2,20; 0,25) | 88,77 -2,19
|
a LOCF: Số liệu tính đến lần ghi nhận cuối cùng (trước khi điều trị tăng cường cho những bệnh nhân cần điều trị tăng cường).
b Tất cả bệnh nhân ở giai đoạn ngẫu nhiên sử dụng ít nhất 1 liều thuốc sử dụng trong nghiên cứu mù đôi ở giai đoạn mù đôi ngắn hạn.
c Thay đổi trung bình bình phương bé nhất được hiệu chỉnh theo giá trị ban đầu.
* Giá trị p < 0,0001 so với giả dược.
s Không kiểm định ý nghĩa thống kê như một kết quả của quá trình thử liên tục cho các mục tiêu thứ yếu. Trị liệu phối hợp bổ sung
Một nghiên cứu không kém hơn, có đối chứng, trong 52 tuần (mở rộng dài hạn thêm 52 và 104 tuần) nhằm đánh giá FORXIGA trong trị liệu phối hợp bổ sung với metformin so với một sulfonylurê (glipizid) phối hợp bổ sung với metformin trên bệnh nhân chưa kiểm soát tốt đường huyết (HbA1c > 6,5% và ≤ 10%). Kết quả cho thấy mức giảm trung bình HbA1c ở tuần 52 so với ban đầu tương đương với glipizid, chứng tỏ tính không kém hơn (Bảng 4). Ở tuần 104, HbA1c thay đổi trung bình được hiệu chỉnh theo giá trị ban đầu là –0,32% đối với dapagliflozin và 0,14% đối với glipizid. Ở tuần 208, HbA1c thay đổi trung bình được hiệu chỉnh theo giá trị ban đầu là −0,10% đối với dapagliflozin và 0,20% đối với glipizid. Ở tuần 52, 104 và 208, tỷ lệ bệnh nhân có ít nhất 1 biến cố hạ đường huyết ở nhóm điều trị với dapagliflozin (lần lượt là 3,5%, 4,3% và 5,0%) thấp hơn có ý nghĩa so với ở nhóm điều trị với glipizid (lần lượt là 40,8%, 47,0% và 50,0%). Tỷ lệ bệnh nhân còn lại trong nghiên cứu ở tuần thứ 104 và tuần thứ 208 ở nhóm điều trị với dapagliflozin là 56,2% và 39,7% và ở nhóm điều trị với glipizid là 50,0% và 34,6%.
Bảng 4. Kết quả ở tuần 52 (LOCFa) của nghiên cứu có đối chứng so sánh dapagliflozin với glipizid trong điều trị phối hợp với metformin
Chỉ số | Dapagliflozin + metformin | Glipizid + metformin |
Nb | 400 | 401 |
HbA1c (%) | ||
Ban đầu (trung bình) | 7.69 | 7.74 |
Thay đổi so với ban đầuc | -0.52 | -0.52 |
Khác biệt so với glipizid + metforminc | -0.00d | |
(95% Cl) | (-0.11; 0.11) | |
Cân nặng (kg) | ||
Ban đầu (trung bình) | 88.44 | 87.60 |
Thay đổi so với ban đầuc | -3.22 | 1.44 |
Khác biệt so với glipizid + metforminc | -4.65* | |
(95% Cl) | (-5.14; -4.17) | |
a LOCF: Số liệu tính đến lần ghi nhận cuối cùng.
b Bệnh nhân ở giai đoạn ngẫu nhiên có chỉ số ban đầu và đánh giá được ít nhất 1 chỉ số hiệu quả.
c Thay đổi trung bình bình phương bé nhất được hiệu chỉnh theo giá trị ban đầu.
d Không kém hơn glipizid + metformin.
* giá trị p < 0.0001.
Dapagliflozin phối hợp bổ sung metformin, glimepirid, metformin và 1 thuốc sulfonylurê, sitagliptin (cùng hoặc không cùng với metformin) hoặc insulin làm giảm HbA1c ở tuần 24 có ý nghĩa thống kê so với nhóm dùng giả dược (p < 0.0001; Bảng 5, 6 và 7).
Giảm HbA1c ghi nhận ở tuần 24 được duy trì trong các nghiên cứu phối hợp bổ sung (với glimepirid và insulin) với dữ liệu 48 tuần (glimepirid) và dữ liệu đến 104 tuần (insulin). Ở tuần 48 khi phối hợp với sitagliptin (cùng hoặc không cùng với metformin), thay đổi trung bình được hiệu chỉnh theo giá trị ban đầu đối với nhóm dapagliflozin 10mg và giả dược lần lượt là -0.30% và 0.38%. Trong nghiên cứu phối hợp bổ sung với metformin giảm HbA1c duy trì đến 102 tuần (thay đổi trung bình được hiệu chỉnh theo giá trị ban đầu đối với nhóm dapagliflozin 10mg và giả dược lần lượt là -0.78% và 0.02%). Ở tuần 104 đối với insulin (có hoặc không kèm với thuốc giảm glucose đường uống), giảm HbA1c thay đổi trung bình được hiệu chỉnh theo giá trị ban đầu đối với nhóm dapagliflozin 10mg và giả dược lần lượt là -0.71% và -0.06%. Ở tuần 48 và 104, liều insulin ở nhóm điều trị với dapagliflozin 10mg duy trì ổn định ở liều trung bình 76IU/ngày so với ban đầu. Ở nhóm giả dược ở tuần 48 và 104 tăng trung bình so với ban đầu lần lượt là 10.5IU/ngày và 18.3IU/ngày (liều trung bình là 84 và 92 IU/ngày). Tỷ lệ bệnh nhân còn lại trong nghiên cứu ở tuần 104 ở nhóm điều trị với dapagliflozin 10mg là 72.4% và ở nhóm giả dược là 54,8%.
Bảng 5. Kết quả nghiên cứu phối hợp bổ sung dapagliflozin với metformin hoặc sitagliptin (cùng hoặc không cùng metformin) trong 24 tuần (LOCFa), có đối chứng với giả dược
Phối hợp bổ sung | ||||
Metformin1 | Chất ức chế DPP-4 (sitagliptin2) ± Metformin1 | |||
Dapagliflozin 10 mg | Giả dược | Dapagliflozin 10 mg | Giả dược | |
Nb | 135 | 137 | 223 | 224 |
HbA1c (%) Ban đầu (trung bình) Thay đổi so với ban đầuc Khác biệt so với giả dượcc (95% Cl) |
7,92 -0,84 -0,54* (-0,74,-0,34) |
8,11 -0,30 |
7,90 -0,45 -0,48* (-0,62, -0,34) |
7,97 0,04 |
Tỷ lệ bệnh nhân đạt HbA1c < 7% Hiệu chỉnh theo giá trị ban đầu | 40,6** | 25,9 | ||
Cân nặng cơ thể (kg) | ||||
Ban đầu (trung bình) | 86,28 | 87,74 | 91,02 | 89,23 |
Thay đổi so với ban đầuc | -2,86 | -0,89 | -2,14 | -0,26 |
Khác biệt so với giả dược | -1,97* | -1,89* | ||
| (95% Cl) | (-2,63,-1,31) | (-2,37, -1,40) | ||
1Metformin ≥ 1500 mg/ngày; 2sitagliptin 100 mg/ngày.
aLOCF: Số liệu tính đến lần ghi nhận cuối cùng (trước khi điều trị tăng cường cho những bệnh nhân cần điều trị tăng cường).
bTất cả bệnh nhân ở giai đoạn ngẫu nhiên đã sử dụng ít nhất 1 liều của thuốc sử dụng trong nghiên cứu mù đôi ở giai đoạn mù đôi ngắn hạn.
cThay đổi trung bình bình phương bé nhất được hiệu chỉnh theo giá trị ban đầu.
*giá trị p < 0,0001 so với giả dược + thuốc giảm glucose đường uống.
**giá trị p < 0,05 so với giả dược + thuốc giảm glucose đường uống.
Bảng 6. Kết quả nghiên cứu phối hợp bổ sung dapagliflozin với sulfonylurê (glimepirid) hoặc metformin và 1 thuốc sulfonylurê trong 24 tuần, có đối chứng với giả dược
Phối hợp bổ sung | ||||
Sulfonylurê (glimepirid1) | Sulfonylurê ± Metformin2 | |||
Dapagliflozin 10mg | Giả dược | Dapagliflozin 10mg | Giả dược | |
Na | 151 | 145 | 108 | 108 |
HbA1c (%)b | ||||
Ban đầu (trung bình) | 8.07 | 8.15 | 8.08 | 8.24 |
Thay đổi so với ban đầuc | -0.82 | -0.13 | -0.86 | -0.17 |
Khác biệt so với giả dượcc | -0.68* | -0.69* | ||
(95% Cl) | (-0.86, -0.51) | (-0.89, -0.49) | ||
Tỷ lệ bệnh nhân đạt HbA1c <7% (LOCF)d | ||||
Hiệu chỉnh theo giá trị ban đầu | 31.7* | 13.0 | 31.8* | 11.1 |
Cân nặng cơ thể (kg) (LOCF)d | ||||
Ban đầu (trung bình) | 80.56 | 80.94 | 88.57 | 90.07 |
Thay đổi so với ban đầuc | -2.26 | -0.72 | -2.65 | -0.58 |
Khác biệt so với giả dượcc | -1.54* | -2.07* | ||
(95% Cl) | (-2.17, -0.92) | (-2.79, -1.35) | ||
1glimepirid 4 mg/ngày; 2Metformin (dạng phóng thích tức thời hoặc phóng thích kéo dài) >1500 mg/ngày cộng với liều dung nạp tối đa, ít nhất phải là nửa liều tối đa, của sulfonylurê trong ít nhất 8 tuần trước khi tham gia nghiên cứu.
aBệnh nhân được điều trị ngẫu nhiên có chỉ số ban đầu và đánh giá được ít nhất 1 chỉ số hiệu quả.
bCột 1 và 2, HbA1c được phân tích bằng LOCF (xem chú thích d); Cột 3 và 4, HbA1c được phân tích bằng LRM (xem chú thích e)
cThay đổi trung bình bình phương bé nhất được hiệu chỉnh theo giá trị ban đầu
dLOCF: Số liệu tính đến lần ghi nhận cuối cùng (trước khi điều trị tăng cường cho những bệnh nhân cần điều trị tăng cường)
eLRM: Phân tích đo lường lặp lại theo thời gian
*Giá trị p < 0,0001 so với giả dược + thuốc giảm glucose đường uống.
Bảng 7. Kết quả ở tuần 24 (LOCFa) của nghiên cứu phối hợp bổ sung dapagliflozin với insulin (có hoặc không kèm với thuốc giảm glucose đường uống) có đối chứng với giả dược
Chỉ số | Dapagliflozin 10mg + insulin ± thuốc giảm glucose đường uống2 | Giả dược + insulin ± thuốc giảm glucose đường uống2 |
Nb | 194 | 193 |
HbA1c (%) | ||
Ban đầu (trung bình) | 8.58 | 8.46 |
Thay đổi so với ban đầuc | -0.90 | -0.30 |
Khác biệt so với giả dượcc | -0.60* | |
(95% Cl) | (-0.74; -0.45) | |
Cân nặng cơ thể (kg) | ||
Ban đầu (trung bình) | 94.63 | 94.21 |
Thay đổi so với ban đầuc | -1.67 | 0.02 |
Khác biệt so với giả dượcc | -1.68* | |
(95% Cl) | (-2,19;-1,18) | |
Liều insulin trung bình hàng ngày (IU)1 | ||
Ban đầu (trung bình) | 77.96 | 73.96 |
Thay đổi so với ban đầuc | -1.16 | 5.08 |
Khác biệt so với giả dượcc | -6.23* | |
(95% Cl) | (-8.84; -3.63) | |
Số bệnh nhân giảm ít nhất 10% liều insulin trung bình hàng ngày | 19.7** | 11.0 |
a LOCF: Số liệu tính đến lần ghi nhận cuối cùng (trước hoặc vào ngày đầu tiên chỉnh tăng liều insulin nếu cần).
b Tất cả bệnh nhân ở giai đoạn ngẫu nhiên đã sử dụng ít nhất 1 liều của thuốc sử dụng trong nghiên cứu mù đôi ở giai đoạn mù đôi ngắn hạn.
c Thay đổi trung bình bình phương bé nhất được hiệu chỉnh theo giá trị ban đầu và có thuốc giảm glucose đường uống.
* giá trị p < 0.0001 so với giả dược + insulin ± thuốc giảm glucose đường uống.
** giá trị p < 0.05 so với giả dược + insulin ± thuốc giảm glucose đường uống.
1 Chỉ cho phép chỉnh tăng liều insulin (bao gồm insulin tác dụng nhanh, tác dụng trung bình hoặc insulin nền) nếu bệnh nhân đáp ứng tiêu chuẩn đường huyết đói (FPG) đã định sẵn.
2 Lúc ban đầu có 50% bệnh nhân dùng insulin; 50% dùng 1 hoặc 2 thuốc giảm glucose đường uống bổ sung với insulin; Ở nhóm thứ 2, 80% dùng metformin, 12% dùng metformin phối hợp với sulfonylurea, và số còn lại không dùng thuốc giảm glucose đường uống nào.
Trị liệu phối hợp với metformin ở bệnh nhân chưa được điều trị trước đây
Tổng số 1.236 bệnh nhân đái tháo đường týp 2 chưa kiểm soát tốt đường huyết (HbA1c ≥ 7,5% và ≤ 12%) chưa được điều trị tham gia 2 nghiên cứu có đối chứng trong 24 tuần nhằm đánh giá an toàn và hiệu quả của dapagliflozin (5 mg hoặc 10 mg) trong trị liệu phối hợp với metformin ở bệnh nhân chưa được điều trị trước đây so với đơn trị liệu.
Điều trị phối hợp dapagliflozin 10 mg với metformin (liều lên đến 2000 mg/ngày) làm cải thiện HbA1c có ý nghĩa so với điều trị với từng thuốc riêng lẻ (Bảng 8), đồng thời làm giảm chỉ số đường huyết lúc đói (FPG) nhiều hơn (so với từng thuốc riêng lẻ) và giảm cân nặng (so với metformin).
Bảng 8: Kết quả ở tuần thứ 24 (LOCFa) trong một nghiên cứu có đối chứng điều trị kết hợp dapagliflozin và metformin ở bệnh nhân chưa được điều trị trước đây
Chỉ số | Dapagliflozin 10mg + Metformin | Dapagliflozin 10mg | Metformin |
Nb | 211b | 219b | 208b |
HbA1c (%) | |||
Ban đâu (trung bình) | 9,10 | 9,03 | 9,03 |
Thay đổi so với ban đầuc | -1,98 | -1,45 | -1,44 |
Khác biệt so với dapagliflozinc (95% Cl) | -0,53* (-0,74, -0,32) | ||
Khác biệt so với metforminc (95% Cl) | -0,54* (-0,75, -0,33) | -0,01 (-0,22, 0,20) |
a LOCF: Số liệu tính đến lần ghi nhận cuối cùng (trước khi điều trị tăng cường cho những bệnh nhân cần điều trị tăng cường).
b Tất cả bệnh nhân ở giai đoạn ngẫu nhiên sử dụng ít nhất 1 liều thuốc sử dụng trong nghiên cứu mù đôi ở giai đoạn mù đôi ngắn hạn.
Thay đổi trung bình bình phương bé nhất được hiệu chỉnh theo giá trị ban đầu.
*Giá trị p < 0,0001.
Trị liệu phối hợp với exenatide phóng thích kéo dài.
Một nghiên cứu đối chứng so sánh, mù đôi trong 28 tuần nhằm so sánh hiệu quả giữa trị liệu phối hợp dapagliflozin và exenatide phóng thích kéo dài (thuốc đồng vận thụ thể GLP-1) với dapagliflozin đơn trị liệu và exenatide phóng thích kéo dài đơn trị liệu trên những bệnh nhân chưa kiểm soát tốt đường huyết khi điều trị với metformin đơn trị liệu (HbA1c ≥ 8% và ≤ 12%). Tất cả các nhóm trị liệu đều có HbA1c giảm so với ban đầu. Nhóm dùng trị liệu phối hợp dapagliflozin 10 mg và exenatide phóng thích kéo dài làm giảm HbA1c so với giá trị ban đầu mạnh hơn so với dapagliflozin đơn trị liệu và exenatide phóng thích kéo dài đơn trị liệu (Bảng 9).
Bảng 9: Kết quả ở tuần 28 của nghiên cứu dapagliflozin và exenatide giải phóng kéo dài so với dapagliflozin đơn trị liệu và exenatide phóng thích kéo dài đơn trị liệu, trong điều trị kết hợp với metformin (có ý định điều trị cho bệnh nhân).
Chỉ số | Dapagliflozin 10mg QD + exenatide phóng thích kéo dài 2mg QW | Dapagliflozin 10mg QD + giả dược QW | Exenatide phóng thích kéo dài 2mg QW + Giả dược QD |
N | 228 | 230 | 227 |
HbA1c | |||
Ban đầu (trung bình) | 9,29 | 9,25 | 9,26 |
Thay đổi so với ban đầua | -1,98 | -1,39 | -1,60 |
Sự khác biệt trung bình thay đổi so với ban đầu giữa nhóm điều trị phối hợp và đơn trị liệu (95% Cl) | – 0,59* (-0,84 – 0,34) | – 0,38** (-0,63 – 0,13) | |
(%) bệnh nhân đạt HbA1c < 7% | 44,7 | 19,1 | 26,9 |
Cân nặng (kg) Ban đầu (trung bình) Thay đổi so với ban đầua Sự khác biệt trung bình thay đổi so với ban đầu giữa nhóm điều trị phối hợp và đơn trị liệu. (95% Cl) |
92,13 -3,55 | 90,87 -2,22 -1,33* (-2,12 – 0,55) | 89,12 -1,56 -2,00* (-2,79 – 1,20) |
QD=1 lần/ngày, QW=1 lần/tuần, N=số bệnh nhân, CI=khoảng tin cậy
aThay đổi trung bình bình phương bé nhất (trung bình LS) và sự khác biệt về thay đổi giữa các nhóm điều trị so với giá trị ban đầu tại tuần 28 được xác định bằng mô hình hỗn hợp với các thí nghiệm lặp lại (MMRM) bao gồm phương pháp điều trị, khu vực, HbA1C ban đầu (< 9,0% hoặc ≥ 9,0%), số tuần và điều trị theo tương tác tuần là các hệ số cố định và giá trị ban đầu là một đồng biến số.
*p < 0,001, **p < 0,01.
Tất cả giá trị p được điều chỉnh theo giá trị p của số bội.
Những phân tích loại trừ các đo lường sau phác đồ cứu vãn và sau khi ngừng sử dụng thuốc nghiên cứu sớm.
Đường huyết đói
Điều trị với dapagliflozin 10 mg đơn trị liệu hoặc phối hợp bổ sung với metformin, glimepirid, metformin và 1 thuốc sulfonylurê, sitagliptin (cùng hoặc không cùng với metformin) hoặc insulin làm giảm đường huyết đói có ý nghĩa thống kê (-1,90 đến -1,20 mmol/L [-34,2 đến -21,7 mg/dL]) so với giả dược (-0,33 đến 0,21 mmol/L[−6,0 đến 3,8 mg/dL]). Hiệu quả này được ghi nhận ở tuần thứ 1 điều trị và duy trì đến tuần 104 của nghiên cứu mở rộng.
Ở tuần 28, trị liệu phối hợp dapagliflozin 10 mg với exenatide phóng thích kéo dài làm giảm chỉ số đường huyết lúc đói (FPG) là –3,66 mmol/L(–65,8 mg/dL) cao hơn có ý nghĩa so với ở nhóm điều trị với dapagliflozin đơn trị liệu [2,73 mmol/L(–49,2 mg/dL) (p < 0,001)] và nhóm điều trị với exenatide đơn trị liệu (–2,54 mmol/L(−45,8 mg/dL) (p < 0,001)].
Đường huyết sau ăn
Điều trị với dapagliflozin 10 mg phối hợp bổ sung với glimepirid làm giảm có ý nghĩa thống kê đường huyết sau ăn 2 giờ ở tuần 24 và duy trì đến tuần 48.
Điều trị với dapagliflozin 10 mg phối hợp bổ sung với sitagliptin (cùng hoặc không cùng với metformin) làm giảm đường huyết sau ăn 2 giờ ở tuần 24 và duy trì đến tuần 48.
Trị liệu phối hợp dapagliflozin 10 mg với exenatide phóng thích kéo dài làm giảm đường huyết sau khi ăn 2 giờ cao hơn có ý nghĩa so với nhóm dùng đơn trị liệu ở tuần 28.
Cân nặng
Dapagliflozin 10 mg phối hợp bổ sung với metformin, glimepirid, metformin và 1 thuốc sulfonylurê, sitagliptin (cùng hoặc không cùng với metformin) hoặc insulin làm giảm cân có ý nghĩa thống kê sau 24 tuần (p<0,0001, Bảng 5 và 6). Hiệu quả này được duy trì trong các thử nghiệm dài hạn hơn. Ở tuần 48, khác biệt của dapagliflozin phối hợp bổ sung với sitagliptin (cùng hoặc không cùng với metformin) so với giả dược là –2,22 kg. Ở tuần 102, dapagliflozin phối hợp bổ sung với metformin khác biệt so với giả dược hoặc phối hợp bổ sung với insulin khác biệt so với giả dược lần lượt là −2,14 và –2,88 kg.
Khi phối hợp bổ sung với metformin trong một nghiên cứu không kém hơn, có đối chứng, dapagliflozin làm giảm cân có ý nghĩa so với glipizid, giảm −4,65 kg ở tuần 52 (p<0,0001, Bảng 4) và duy trì đến tuần 104 và 208 (tương ứng là –5,06 kg và −4,38 kg).
Trị liệu phối hợp dapagliflozin 10 mg với exenatide phóng thích kéo dài cho thấy làm giảm cân nặng nhiều hơn có ý nghĩa so với dùng đơn trị liệu (Bảng 9).
Một nghiên cứu 24 tuần trên 182 bệnh nhân đái tháo đường sử dụng hấp thu năng lượng tia X kép (DXA) để đánh giá thành phần cơ thể cho thấy dapagliflozin 10 mg phối hợp với metformin làm giảm cân nặng và lượng mỡ khi đo bằng DXA so với giảm mô nạc hoặc mất dịch khi dùng giả dược và metformin. Điều trị với FORXIGA phối hợp với metformin cho thấy giảm có ý nghĩa mô mỡ nội tạng so với dùng giả dược và metformin trong nghiên cứu hình ảnh cộng hưởng từ.
Huyết áp
Một phân tích gộp trên 13 nghiên cứu có đối chứng giả dược, điều trị với dapagliflozin 10 mg làm giảm 3,7 mmHg huyết áp tâm thu và giảm 1,8 mmHg huyết áp tâm trương so với giảm 0,5 mmHg.
huyết áp tâm thu và giảm 0,5 mmHg huyết áp tâm trương ở nhóm dùng giả dược ở tuần 24 so với ban đầu. Sự giảm tương tự cũng được ghi nhận đến tuần 104.
Ở tuần 28, trị liệu phối hợp dapagliflozin 10 mg với exenatide phóng thích kéo dài làm giảm huyết áp tâm thu (-4,3mmHg) nhiều hơn có ý nghĩa so với nhóm dùng dapagliflozin đơn trị liệu (-1,8 mmHg, p < 0,05) và exenatide phóng thích kéo dài đơn trị liệu (-1,2 mmHg, p < 0,01).
Trong 2 nghiên cứu có đối chứng với giả dược trong 12 tuần, 1.062 bệnh nhân đái tháo đường týp 2 chưa kiểm soát tốt đường huyết và cao huyết áp (mặc dù đã điều trị ổn định trước đó bằng ACE-I hoặc ARB trong một nghiên cứu và ACE-I hoặc ARB phối hợp thêm với một phương pháp điều trị tăng huyết áp trong một nghiên cứu khác) được điều trị với dapagliflozin 10 mg hoặc giả dược. Ở tuần 12 của cả 2 nghiên cứu, dapagliflozin 10 mg phối hợp với thuốc điều trị đái tháo đường thông thường làm cải thiện HbA1c và làm giảm huyết áp tâm thu lần lượt là 3,1 và 4,3 mmHg (sau khi giả dược được hiệu chỉnh).
Bệnh nhân đái tháo đường týp 2 kèm suy giảm chức năng thận
Bệnh nhân suy giảm chức năng thận nhẹ (độ lọc cầu thận ước tính eGFR ≥ 60 đến < 90 mL/phút/1,73 m2)
Trong chương trình thử nghiệm lâm sàng trên hơn 3000 bệnh nhân suy giảm chức năng thận nhẹ được điều trị với dapagliflozin. Hiệu quả được đánh giá dựa trên một phân tích gộp thu được từ 9 nghiên cứu lâm sàng thực hiện trên 2226 bệnh nhân suy giảm chức năng thận nhẹ. Ở tuần 24, hemoglobin A1c (HbA1c) thay đổi trung bình so với ban đầu và HbA1c thay đổi trung bình sau khi giả dược được hiệu chỉnh lần lượt là -1,03% và -0,54%, thử nghiệm với FORXIGA 10 mg (n=562). Dữ liệu an toàn ở bệnh nhân suy giảm chức năng thận nhẹ tương tự với dữ liệu thu được trên tổng quần thể nghiên cứu.
Bệnh nhân suy giảm chức năng thận trung bình (độ lọc cầu thận ước tính eGFR ≥ 30 đến < 60 mL/ phút//1,73 m2)
Hiệu quả và an toàn của FORXIGA được đánh giá trong 2 nghiên cứu chuyên biệt trên bệnh nhân suy giảm chức năng thận trung bình và trong 2 phân tích gộp dưới nhóm của nghiên cứu lâm sàng.
Trong một nghiên cứu có đối chứng giả dược, mù đôi, ngẫu nhiên trên tổng cộng 321 bệnh nhân người lớn bị đái tháo đường týp 2 có eGFR ≥ 45 đến < 60 mL/phút/1,73 m2 (nhóm bệnh nhân suy giảm chức năng thận trung bình – bệnh thận mạn tính CKD 3A), được điều trị bằng FORXIGA 10 mg hay giả dược chưa kiểm soát tốt đường huyết với phác đồ điều trị hiện tại. Ở tuần 24, FORXIGA 10 mg (n=159) làm cải thiện đáng kể HbA1c, chỉ số đường huyết lúc đói (FPG), cân nặng cơ thể và huyết áp tâm thu (SBP) so với giả dược (n=161) (Bảng 10). HbA1c thay đổi trung bình so với ban đầu và HbA1c thay đổi trung bình sau khi giả dược được hiệu chỉnh lần lượt là -0,37% và -0,34%. FPG thay đổi trung bình so với ban đầu và FPG thay đổi trung bình sau khi giả dược được hiệu chỉnh lần lượt là -21,46 mg/dL và -16,59 mg/dL. Giảm cân nặng cơ thể trung bình (tính theo %) và giảm cân nặng trung bình sau khi giả dược được hiệu chỉnh lần lượt là -3,42% và -1,43%. Giảm huyết áp tâm thu khi ngồi trung bình (SBP) và giảm SPB trung bình sau khi giả dược được hiệu chỉnh lần lượt là -4,8 mmHg và -3,1 mmHg.
Bảng 10. Kết quả ở tuần 24 của nghiên cứu điều trị với dapagliflozin có đối chứng giả dược trên bệnh nhân đái tháo đường kèm theo suy giảm chức năng thận trung bình (giai đoạn 3A, độ lọc cầu thận ước tính eGFR ≥ 45 đến < 60 mL/phút/1,73m2)
Chỉ số hiệu quả | FORXIGA 10mg N=159 | Giả dược 161 |
HbA1c (%) | ||
Ban đầu (trung bình) | 8,35 | 8,03 |
Thay đổi so với ban đầu (trung bình được hiệu chỉnh*) | -0,37 § | -0,03 |
Khác biệt so với giả dược (trung bình được hiệu chỉnh*) (95% Cl) | -0,34§ (-0,53, -0,15) | |
FPG (mg/dL) | ||
Ban đầu (trung bình) | 183,04 | 173,28 |
Thay đổi so với ban đầu (trung bình được hiệu chỉnh*) | -21,46§ | -4,87 |
Khác biệt so với giả dược (trung bình được hiệu chỉnh*) (95% Cl) | -16,59§ (-26,73, -6,45) | |
Cân nặng cơ thể (%) | ||
Ban đầu (trung bình) | 92,51 | 88,30 |
% Thay đổi so với ban đầu (trung bình được hiệu chỉnh*) | -3,42§ | -2,02 |
Khác biệt so với giả dược (trung bình được hiệu chỉnh*) (95% Cl) | -1,43§ (-2,15, -0,69) | |
Huyết áp tâm thu khi ngồi (mmHg) | ||
Ban đầu (trung bình) | 135,7 | 1355,0 |
Thay đổi so với ban đầu (trung bình được hiệu chỉnh*) | -4,8¶ | -1,7 |
Khác biệt so với giả dược (trung bình được hiệu chỉnh*) (95% Cl) | -3,1¶ (-6,3, 0,0) | |
*Thay đổi trung bình bình phương bé nhất được hiệu chỉnh so với giá trị ban đầu.
§ Giá trị p < 0,001.
¶ Giá trị P < 0,05.
Dữ liệu an toàn của dapagliflozin trong nghiên cứu này tương tự với dữ liệu thu được từ nhóm quần thể chung bệnh nhân đái tháo đường týp 2. eGFR trung bình giảm trong thời gian đầu điều trị với nhóm dùng dapagliflozin và sau đó vẫn ổn định trong suốt 24 tuần điều trị (dapagliflozin: -3,39 mL/ phút /1,73 m2 và giả dược: -0,90 mL/phút/1,73 m2). Sau 3 tuần ngưng điều trị với FORXIGA, eGFR thay đổi trung bình so với ban đầu ở nhóm dùng dapagliflozin tương tự với nhóm giả dược (FORXIGA: 0,57 mL/phút/1,73 m2 và giả dược: -0,04 mL/phút/1,73 m2).
Hiệu quả trên bệnh nhân suy giảm chức năng thận trung bình được đánh giá dựa trên một phân tích gộp thu được từ 9 nghiên cứu lâm sàng (366 bệnh nhân, 87% có eGFR ≥ 45 đến < 60 mL/phút/1,73 m2); dữ liệu gộp này không bao gồm 2 nghiên cứu chuyên biệt trên bệnh nhân đái tháo đường kèm suy giảm chức năng thận trung bình. HbA1c thay đổi trung bình so với ban đầu và HbA1c thay đổi trung bình sau khi giả dược được điều chỉnh tại tuần 24 lần lượt là -0,87% và -0,39% khi được điều trị với FORXIGA 10 mg (n=85).
An toàn của bệnh nhân suy giảm chức năng thận trung bình được đánh giá dựa trên một phân tích gộp thu được từ 12 nghiên cứu lâm sàng (384 bệnh nhân, 88% có eGFR ≥ 45 đến < 60 mL/phút/1,73 m2); dữ liệu gộp này không bao gồm 2 nghiên cứu chuyên biệt trên bệnh nhân đái tháo đường kèm suy giảm chức năng thận trung bình. Ở tuần thứ 24, dữ liệu an toàn tương tự như được ghi nhận trên chương trình tổng quan các nghiên cứu lâm sàng ngoại trừ tỷ lệ bệnh nhân được báo cáo có ít nhất một biến cố bất lợi liên quan đến suy giảm chức năng thận hay bệnh thận giai đoạn cuối cao hơn (7,9% với nhóm dùng FORXIGA 10 mg so với 5,6% ở nhóm giả dược). Trong số những biến cố này, thường gặp nhất là tăng creatinin huyết thanh (6,7% ở nhóm dùng FORXIGA 10 mg so với 2,8% ở nhóm giả dược). Hormon tuyến cận giáp (PTH) và phospho huyết thanh trung bình tăng được quan sát ở nhóm dùng FORXIGA trong chương trình tổng quan nghiên cứu lâm sàng cũng được ghi nhận tương tự trong phân tích gộp. Dữ liệu an toàn dài hạn và ngắn hạn được gộp đến tuần 102, kết quả cho thấy các dữ liệu an toàn vẫn tương tự như nhau.
An toàn và hiệu quả của dapagliflozin cũng được đánh giá dựa trên 1 nghiên cứu gồm 252 bệnh nhân đái tháo đường có eGFR ≥ 30 đến < 60 mL/phút/1,73 m2 (phân nhóm suy giảm chức năng thận trung bình CKD 3A và CKD 3B). Ở tuần 24, điều trị với FORXIGA không làm HbA1c thay đổi có ý nghĩa (sau khi giả dược được hiệu chỉnh) trên tổng quần thể nghiên cứu (kết hợp nhóm CKD 3A và CKD 3B). Trong phân tích bổ sung trên phân nhóm CKD 3A, FORXIGA 10 mg (n=32) làm HbA1c thay đổi trung bình sau khi giả dược được hiệu chỉnh ở tuần 24 là -0,33%. Ở tuần 52, FORXIGA làm eGFR thay đổi trung bình so với ban đầu (FORXIGA 10 mg -4,46 mL/phút/1,73 m2 và giả dược -2,58 mL/phút/1,73 m2). Sự thay đổi này vẫn duy trì đến tuần 104 (eGFR: FORXIGA 10 mg -3,50 mL/phút/1,73 m2 và giả dược -2,38 mL/phút/1,73 m2). Điều trị bằng FORXIGA 10 mg làm giảm eGFR ở tuần điều trị đầu tiên và duy trì ổn định đến tuần 104, trong khi đó eGFR trên những bệnh nhân điều trị với giả dược giảm chậm liên tục đến tuần 52 và duy trì ổn định đến tuần 104.
Ở tuần thứ 52 và kéo dài đến tuần 104, quan sát thấy PTH và phospho huyết thanh trung bình trong nghiên cứu này tăng nhiều hơn nhóm dùng FORXIGA 10 mg so với ở nhóm dùng giả dược, trong đó giá trị ở thời điểm ban đầu của những phân tích này cao hơn. Sự tăng nồng độ kali = 6 mEq/l thường gặp ở bệnh nhân điều trị với giả dược (12%) hơn là so với nhóm dùng FORXIGA 5 mg và 10 mg (4,8% ở cả 2 hàm lượng) trong khoảng thời gian điều trị tích lũy đến 104 tuần. Tỉ lệ bệnh nhân ngưng điều trị khi nồng độ kali tăng cao hay nồng độ kali được hiệu chỉnh so với ban đầu ở nhóm giả dược (14,3%) cao hơn so với nhóm điều trị với FORXIGA (6,9% và 6,7% cho nhóm dùng 5 mg và 10 mg).
Về mặt tổng thể, đến tuần 104 có 13 bệnh nhân được báo cáo xảy ra phản ứng bất lợi gãy xương trong nghiên cứu này, trong đó 8 trường hợp xuất hiện ở nhóm điều trị với FORXIGA 10 mg, 5 trường hợp ở nhóm dùng FORXIGA 5 mg và không trường hợp nào xảy ra ở nhóm điều trị bằng giả dược. 8 trong 13 trường hợp gãy xương xảy ra ở bệnh nhân có độ lọc cầu thận ước tính eGFR 30 đến 45 mL/phút/1,73 m2 và 10 trong số 13 trường hợp gãy xương được báo cáo xảy ra trong vòng 52 tuần đầu điều trị. Không có hình ảnh về vị trí gãy xương rõ ràng. Không quan sát có sự mất cân bằng khi bị gãy xương trong phân tích an toàn từ dữ liệu gộp của 12 nghiên cứu và không có báo cáo xảy ra trường hợp gãy xương ở nghiên cứu chuyên biệt trên bệnh nhân có eGFR ≥ 45 đến < 60 mL/phút/1,73 m2 (nhóm CKD 3A).
Bệnh nhân có HbA1c ban đầu > 9%
Trong 1 phân tích gộp trên bệnh nhân có HbA1c ≥ 9,0%, điều trị với dapagliflozin 10 mg đơn trị liệu làm giảm HbA1c có ý nghĩa thống kê ở tuần 24 (thay đổi trung bình so với ban đầu ở nhóm dùng dapagliflozin 10 mg và ở nhóm dùng giả dược tương ứng là -2,04% và 0,19%) và trong điều trị phối hợp bổ sung với metformin (thay đổi trung bình so với ban đầu ở nhóm dùng dapagliflozin 10 mg và giả dược tương ứng là -1,32% và -0,53%).
Tác động của thuốc trên tim mạch và thận
Nghiên cứu DECLARE (Dapagliflozin Effect on Cardiovascular Events) là một nghiên cứu lâm sàng đa quốc gia, đa trung tâm, ngẫu nhiên, mù đôi, đối chứng với giả dược, được thực hiện để xác định tác động của dapagliflozin trên tim mạch và thận, so sánh với giả dược khi bổ sung vào liệu pháp điều trị nền hiện hành. Tất cả bệnh nhân đều là đái tháo đường týp 2 và có thêm ít nhất 2 yếu tố nguy cơ tim mạch (nam giới ≥ 55 tuổi, hoặc nữ giới ≥ 60 tuổi, và một hoặc nhiều yếu tố như rối loạn chuyển hóa lipid, tăng huyết áp, hiện đang hút thuốc lá) không có bệnh lý tim mạch vào thời điểm bắt đầu (phòng ngừa sơ cấp), hoặc đã có bệnh lý tim mạch (phòng ngừa thứ cấp). Trong số 17.160 bệnh nhân được lựa chọn ngẫu nhiên, có 6.974 (40,6%) bệnh nhân có tiền sử bệnh lý tim mạch, và 10.186 (59,4%) bệnh nhân không có bệnh lý tim mạch. Có 8.582 bệnh nhân được lựa chọn ngẫu nhiên vào nhóm dapagliflozin 10 mg và 8.578 bệnh nhân vào nhóm giả dược, và được theo dõi trong khoảng thời gian trung bình 4,2 năm.
Tuổi trung bình của bệnh nhân tham gia nghiên cứu là 63,9 tuổi, trong đó 37,4% là nữ giới. Trong tổng số bệnh nhân, có 22,4% bệnh nhân mắc bệnh đái tháo đường ≤ 5 năm, trung bình khoảng thời gian mắc bệnh đái tháo đường là 11,9 năm. HbA1c là 8,3% và chỉ số trung bình BMI là 32,1 kg/m2.
Vào thời điểm khởi đầu, 10,0% bệnh nhân có tiền sử suy tim. eGFR trung bình là 85,2 mL/phút/1,73 m2, 7,4% bệnh nhân có eGFR <60 mL/phút/1,73 m2 và 30,3% bệnh nhân có micro- hoặc macroalbumin niệu (albumin trong nước tiểu dẫn đến tỷ lệ creatinin lần lượt là 30 mg/g ≤ [UACR] ≤ 300 mg/g, hoặc > 300 mg/g).
Vào thời điểm khởi đầu, hầu hết bệnh nhân (98,1%) đã sử dụng một hoặc nhiều loại thuốc điều trị đái tháo đường, 82,0% bệnh nhân đang được điều trị bằng metformin, 40,9% bệnh nhân dùng insulin, 42,7% bệnh nhân dùng sulfonylurea, 16,8% bệnh nhân dùng thuốc ức chế DPP4 và 4,4% bệnh nhân dùng thuốc chủ vận GLP- 1.
Khoảng 81,3% bệnh nhân được điều trị bằng thuốc ức chế men chuyển angiotensin hoặc thuốc ức chế thụ thể angiotensin, 75,0% bệnh nhân dùng thuốc nhóm statin, 61,1% bệnh nhân dùng thuốc kháng tiểu cầu, 55,5% bệnh nhân dùng acid acetylsalicylic, 52,6% bệnh nhân dùng thuốc chẹn thụ thể beta, 34,9% bệnh nhân dùng thuốc ức chế kênh calci, 22,0% bệnh nhân dùng thuốc lợi tiểu thiazid và 10,5% bệnh nhân dùng thuốc lợi tiểu quai.
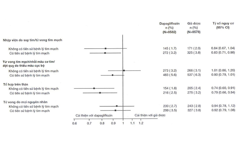
Kết quả tiêu chí chính và tiêu chí phụ được trình bày ở hình 1 và 2.
Hình 1. Kết quả tổ hợp tiêu chí chính và các thành phần, và tổ hợp tiêu chí phụ và các thành phần

Tổ hợp biến cố trên thận được định nghĩa là: giảm liên tục ≥ 40% eGFR xuống còn eGFR <60 mL/ phút /1,73 m2 và / hoặc bệnh thận mạn giai đoạn cuối (lọc máu ≥ 90 ngày hoặc ghép thận, eGFR được xác nhận duy trì <15 mL/phút/1,73 m2) và/hoặc tử vong do thận hoặc bệnh lý tim mạch.
giá trị p là giá trị p hai phía cho tiêu chí chính và giá trị p danh nghĩa cho tiêu chí phụ và các thành phần đơn lẻ. Thời gian đến khi xảy ra biến cố đầu tiên được phân tích theo mô hình tỉ số nguy cơ Cox. Số lượng biến cố đầu tiên cho các thành phần đơn lẻ là số lượng biến cố đầu tiên thực tế cho mỗi thành phần và không thêm vào số lượng biến cố trong điểm kết thúc tổng hợp.
Cl = khoảng tin cậy.
Hình 2: Kết quả tiêu chí chính và phụ ở bệnh nhân có và không có tiền sử bệnh lý tim mạch

Tổ hợp biến cố trên thận được định nghĩa là: giảm liên tục ≥ 40% eGFR xuống còn eGFR <60 mL/ phút /1,73 m2 và / hoặc ESRD (lọc máu ≥ 90 ngày hoặc ghép thận, eGFR được xác nhận duy trì <15 mL/phút /1,73 m2) và/hoặc tử vong do thận hoặc tử vong tim mạch. Thời gian đến khi xảy ra biến cố đầu tiên được phân tích trong theo mô hình tỷ lệ nguy cơ Cox.
Cl = khoảng tin cậy
Suy tim hoặc tử vong tim mạch
Dapagliflozin 10 mg vượt trội so với giả dược trong việc phòng ngừa tổ hợp tiêu chí chính của nhập viện vì suy tim hoặc tử vong tim mạch (Hình 3).
Các phân tích thăm dò của các thành phần đơn lẻ cho thấy rằng sự khác biệt về hiệu quả điều trị được thúc đẩy bởi nhập viện vì suy tim, không có sự khác biệt rõ ràng về tử vong tim mạch (Hình 1).
Hiệu quả điều trị của dapagliflozin so với giả dược được quan sát thấy ở cả bệnh nhân có và không có tiền sử bệnh lý tim mạch (Hình 2), có và không có suy tim vào thời điểm khởi đầu, và nhất quán giữa các phân nhóm chính, bao gồm tuổi, giới tính, chức năng thận (eGFR) và vùng địa lý.
Hình 3: Thời gian xuất hiện lần đầu nhập viện vì suy tim hoặc tử vong tim mạch

Bệnh nhân có nguy cơ là số bệnh nhân có nguy cơ vào thời điểm bắt đầu tham gia nghiên cứu.
HR = Tỷ số nguy cơ.
Cl = Khoảng tin cậy.
Biến cố tim mạch chính
Dapagliflozin 10 mg đã được chứng minh là an toàn trên tim mạch (được thử nghiệm là không kém hơn so với giả dược về tổng hợp tử vong tim mạch, nhồi máu cơ tim hoặc đột quỵ do thiếu máu cục bộ; giá trị p một bên <0,001).
Nhóm bệnh nhân dùng dapagliflozin có số lượng bệnh nhân gặp phải biến cố của tử vong tim mạch, nhồi máu cơ tim hoặc đột quỵ do thiếu máu cục bộ ít hơn so với nhóm giả dược (Hình 1 và 2).
Bệnh thận
Dapagliflozin làm giảm tỷ lệ các biến cố tổng hợp bao gồm giảm liên tục eGFR, bệnh thận mạn giai đoạn cuối, tử vong do thận hoặc tim mạch (Hình 4). Sự khác biệt giữa các nhóm được thúc đẩy bởi sự giảm các biến cố của các thành phần bệnh thận; giảm eGFR liên tục, bệnh thận mạn giai đoạn cuối và tử vong do bệnh thận (Hình 1) và được quan sát cả ở những bệnh nhân có hay không có tiền sử bệnh lý tim mạch (Hình 2).
Hình 4: Thời gian xuất hiện lần đầu tiên sự giảm eGFR liên tục, bệnh thận mạn giai đoạn cuối, tử vong do bệnh thận hoặc tim mạch

Tổ hợp biến cố trên thận được định nghĩa là giảm liên tục eGFR ≥ 40% xuống eGFR <60 mL/phút 1,73 m2 và / hoặc bệnh thận mạn giai đoạn cuối và/hoặc tử vong do thận hoặc tử vong tim mạch.
Bệnh nhân có nguy cơ là số bệnh nhân có nguy cơ vào thời điểm bắt đầu tham gia nghiên cứu.
HR = Tỷ số nguy cơ.
Cl = Khoảng tin cậy.
Khi đánh giá các thành phần bệnh lý thận, có 127 trường hợp trong nhóm dapagliflozin và 238 trường hợp trong nhóm giả dược có bệnh thận mới hoặc xấu đi (giảm eGFR kéo dài, bệnh thận mạn giai đoạn cuối hoặc tử vong do bệnh thận). Tỷ số nguy cơ về thời gian đối với bệnh thận là 0,53 (95% CI 0,43, 0,66) đối với dapagliflozin so với giả dược.
Tác dụng có lợi của dapagliflozin trên thận cũng được quan sát thấy dựa vào albumin niệu, cụ thể là:
- Ở những bệnh nhân không có albumin niệu trước đó, dapagliflozin làm giảm tỷ lệ mắc albumin niệu kéo dài (UACR> 30 mg/g) so với giả dược (tỷ số nguy cơ 0,79 [95% CI 0,72, 0,87], p<0,001).
- Ở những bệnh nhân không có macroalbumin niệu trước đó, khởi phát mới của macroalbumin niệu (UACR> 300 mg/g) giảm ở nhóm dapagliflozin so với nhóm giả dược (tỷ số nguy cơ 0,54 [95% CI 0,45, 0,65], giá trị p danh nghĩa <0,001).
- Ở những bệnh nhân có macroalbumin niệu trước đó, thoái triển macroalbumin niệu ở nhóm dapagliflozin lớn hơn so với nhóm giả dược (tỷ số nguy cơ 1,82 [95% CI 1,51, 2,20], p danh nghĩa <0,001).
- Hiệu quả điều trị của dapagliflozin so với giả dược được quan sát cả ở hai nhóm bệnh nhân có hoặc không có sẵn suy giảm chức năng thận.
Trẻ em
Hiệu quả và an toàn của dapagliflozin ở trẻ em từ 0 đến dưới 18 tuổi chưa được thiết lập. Hiện chưa có dữ liệu.
Suy tim với phân suất tống máu giảm
Nghiên cứu DAPA-HF (Dapagliflozin And Prevention of Adverse outcomes in Heart Failure, NCT03036124) là một nghiên cứu đa quốc gia, đa trung tâm, ngẫu nhiên, mù đôi, đối chứng với giả dược ở bệnh nhân suy tim (phân loại II-IV theo Hiệp hội tim mạch New York [NYHA]) với phân suất tống máu giảm (phân suất tống máu thất trái [LVEF] ≤ 40%) để xác định FORXIGA có làm giảm nguy cơ tử vong tim mạch và nhập viện do suy tim.
Trong số 4744 bệnh nhân, 2373 bệnh nhân được chia ngẫu nhiên vào nhóm sử dụng FORXIGA 10 mg và 2371 bệnh nhân vào nhóm sử dụng giả dược và được theo dõi với thời gian trung vị 18 tháng. Tuổi trung bình của dân số nghiên cứu là 66 tuổi, 77% là nam giới và 70% là người da trắng, 5% người da đen hoặc người Mỹ gốc Phi và 24% người châu Á.
Tại thời điểm ban đầu, 68% bệnh nhân được phân loại ở NYHA độ II, 32% độ III và 1% độ IV; phân suất tống máu thất trái (LVEF) trung vị là 32%. 42% bệnh nhân có tiền sử đái tháo đường týp 2 và có thêm 3% bệnh nhân bị đái tháo đường týp 2 dựa trên HbA1c ≥6,5% tại cả thời điểm tuyển bệnh và phân nhóm ngẫu nhiên.
Tại thời điểm ban đầu, 94% bệnh nhân được điều trị bằng thuốc ức chế men chuyển (ACEi), thuốc đối kháng thụ thể angiotensin II (ARB) hoặc thuốc ức chế thụ thể angiotensin – neprilysin (ARNI, bao gồm sacubitril/valsartan 11%), 96% bệnh nhân được điều trị bằng thuốc chẹn beta, 71% bệnh nhân được điều trị bằng thuốc kháng thụ thể mineralocorticoid (MRA), 93% bệnh nhân được điều trị bằng thuốc lợi tiểu, và 26% bệnh nhân có dùng thiết bị cấy ghép.
FORXIGA làm giảm tần suất của tổ hợp tiêu chí chính gồm tử vong tim mạch, nhập viện do suy tim hoặc cấp cứu do suy tim (HR 0,74 [95% CI 0,65; 0,85]; p <0,0001). Tất cả ba thành phần của tổ hợp tiêu chí chính đều góp phần riêng biệt vào hiệu quả điều trị. Các đường cong biến cố của FORXIGA và giả dược tách ra từ sớm và tiếp tục tách ra trong suốt thời gian nghiên cứu (Bảng 11, Hình 5A, 5B và 5C).
Bảng 11: Kết quả tổ hợp tiêu chí chính*, các tiêu chí thành phần* và tử vong do mọi nguyên nhân trong nghiên cứu DAPA-HF
Bệnh nhân xảy ra biến cố (tỷ lệ biến cố) | ||||
Biến số hiệu quả (thời gian xuất hiện lần đầu tiên) | FORXIGA 10mg N=2373 | Giả dược N=2371 | Tỷ số nguy cơ (95% Cl) | Giá trị p& |
Tổ hợp biến cố nhập viện do suy tim, tử vong tim mạch (CV) hoặc cấp cứu do suy tim | 386 (11,6) | 502 (15,6) | 0,74 (0,65; 0,85) | < 0,0001 |
Tổ hợp biến cố tử vong tim mạch (CV) hoặc nhập viện do suy tim | 382 (11,4) | 495 (15,3) | 0,75 (0,65; 0,85) | < 0,0001 |
Các thành phần của tổ hợp tiêu chí | ||||
Tử vong tim mạch (CV) | 227 (6,5) | 273 (7,9) | 0,82 (0,69; 0,98) | |
Nhập viện do suy tim hoặc cấp cứu do suy tim | 237 (7,1) | 326 (101,1) | 0,70 (0,59; 0,83) | |
Nhập viện do suy tim | 231 (6,9) | 318 (9,8) | 0,70 (0,59, 0,83) | |
Cấp cứu do suy tim | 10 (0,3) | 23 (0,7) | 0,43 (0,20; 0,90) | |
Tử vong do mọi nguyên nhân | 276 (7,9) | 329 (9,5) | 0,83 (0,71; 0,97) | |
N= Số lượng bệnh nhân, Cl= Khoảng tin cậy, CV= Tim mạch.
*Bộ phân tích đầy đủ.
&Giá trị p hai phía.
Ghi chú: Thời gian đến khi xảy ra biến cố đầu tiên được phân tích theo mô hình tỷ số nguy cơ Cox. Số lượng các biến cố đầu tiên của mỗi thành phần là số lượng thực tế của các biến cố đầu tiên của mỗi thành phần và không cộng thêm vào số lượng biến cố trong tổ hợp tiêu chí. Tỷ lệ biến cố được trình bày dưới dạng số lượng đối tượng với biến cố trên 100 bệnh nhân năm theo dõi.
Hình 5: Đường cong Kaplan-Meier của tổ hợp tiêu chí chính (A), tử vong tim mạch (B), và nhập viện do suy tim (C) (Nghiên cứu DAPA-HF)
Hình 5A: Thời gian xuất hiện lần đầu tiên của tổ hợp biến cố tử vong tim mạch, nhập viện do suy tim hoặc cấp cứu do suy tim

Ghi chú: Biến cố cấp cứu do suy tim được định nghĩa là việc khám khẩn cấp, ngoài kế hoạch đánh giá bởi bác sĩ, ví dụ tại khoa Cấp cứu, và yêu cầu điều trị cho tình trạng suy tim nặng hơn (khác với việc chỉ tăng liều thuốc lợi tiểu đường uống).
Bệnh nhân có nguy cơ là bệnh nhân có nguy cơ vào thời điểm bắt đầu tham gia nghiên cứu.
HR= Tỷ số nguy cơ, Cl=Khoảng tin cậy.
Hình 5B: Thời gian xuất hiện lần đầu tiên của biến cố tử vong tim mạch

Bệnh nhân có nguy cơ là số bệnh nhân có nguy cơ vào thời điểm bắt đầu tham gia nghiên cứu.
HR= Tỷ số nguy cơ, Cl= Khoảng tin cậy
Hình 5C: Thời gian xuất hiện lần đầu tiên của biến cố nhập viện do suy tim

Bệnh nhân có nguy cơ là số bệnh nhân có nguy cơ vào thời điểm bắt đầu tham gia nghiên cứu.
HR= Tỷ số nguy cơ, Cl= Khoảng tin cậy.
FORXIGA làm giảm tổng số biến cos nhập viện do suy tim (biến cố lần đầu và tái phát) và tử vong tim mạch, với tổng số 567 biến cô ở nhóm dùng FORXIGA so với 742 biến cố ở nhóm dùng giả dược (Tỷ số nguy cơ 0,75 [95% Cl 0,65; 0,88]; p=0,0002).
Kết quả của tổ hợp tiêu chí chính là thống nhất trong các phân nhóm được kiểm tra, bao gồm cả bệnh nhân suy tim có và không có đái tháo đường tuýp 2 (Hình 6).
Hình 6: Kết quả của tổ hợp tiêu chí chính (biến cố tử vong tim mạch và suy tim) ở phân tích dưới nhóm (nghiên cứu DAPA-HF) (xem hình 6 tại trang 28 mục tờ HDSD)
Bệnh thận mạn tính
Nghiên cứu đánh giá hiệu quả của Dapagliflozin về kết cục trên thận và tử vong tim mạch ở bệnh nhân bị bệnh thận mạn tính (DAPA-CKD) là một nghiên cứu đa quốc gia, đa trung tâm, ngẫu nhiên, mù đôi, đối chứng với giả dược ở bệnh nhân bị bệnh thận mạn tính (CKD) (eGFR từ 25 đến 75 mL/phút/1,73 m2) và albumin niệu (tỷ số albumin/ creatinin trong nước tiểu [UACR] từ 200 đến 5000 mg/g) đang dùng liệu pháp điều trị nền tiêu chuẩn, bao gồm thuốc ức chế men chuyển (ACEi) hoặc thuốc chẹn thụ thể angiotensin (ARB) ở mức liều hàng ngày, hoặc dung nạp tối đa. Thử nghiệm đã loại trừ những bệnh nhân mắc bệnh thận đa nang di truyền gen trội hoặc lặn trên nhiễm sắc thể thường, viêm thận lupus, hoặc viêm mạch liên quan đến kháng thể kháng bào tương của bạch cầu trung tính (ANCA) và những bệnh nhân đã dùng các liệu pháp gây độc tế bào, ức chế miễn dịch hoặc điều hòa miễn dịch trong 6 tháng trước đó.
Tiêu chí chính là xác định xem FORXIGA có làm giảm tần suất của tổ hợp biến cố gồm giảm liên tục eGFR ≥ 50%, tiến triển đến bệnh thận giai đoạn cuối (ESKD) (được định nghĩa là eGFR duy trì <15 mL/phút/1,73 m2, bắt đầu điều trị lọc máu mạn tính hoặc ghép thận), tử vong tim mạch hoặc tử vong do bệnh thận.
Tổng số 4304 bệnh nhân được chọn ngẫu nhiên dùng FORXIGA 10 mg hoặc giả dược và được theo dõi trong thời gian trung vị là 28,5 tháng.
Tuổi trung bình của dân số nghiên cứu là 62 tuổi và 67% là nam giới. Dân số gồm 53% người da trắng, 4% người da đen hoặc người Mỹ gốc Phi, và 34% người Châu Á; 25% là người gốc Tây Ban Nha hoặc La tinh.
Tại thời điểm ban đầu, eGFR trung bình là 43 mL/phút/1,73 m2, 44% bệnh nhân có eGFR từ 30 mL/phút/1,73 m2 đến dưới 45 mL/phút/1,73m2, và 15% bệnh nhân có eGFR dưới 30 mL/phút/1,73m2. Tỷ số albumin/ creatinin trong nước tiểu (UACR) trung vị là 950 mg/g. Tổng số 68% bệnh nhân bị đái tháo đường týp 2 được phân nhóm ngẫu nhiên. Nguyên nhân phổ biến nhất của bệnh thận mạn tính là bệnh thận do đái tháo đường (58%), bệnh thận do thiếu máu cục bộ/ tăng huyết áp (16%), và bệnh thận IgA (6%).
Tại thời điểm ban đầu, 97% bệnh nhân được điều trị bằng thuốc ức chế men chuyển (ACEi) hoặc thuốc chẹn thụ thể angiotensin (ARB). Khoảng 44% đang dùng thuốc chống kết tập tiểu cầu và 65% đang dùng statin.
FORXIGA làm giảm tần suất của tổ hợp tiêu chí chính gồm giảm liên tục eGFR ≥ 50%, tiến triển đến bệnh thận giai đoạn cuối (ESKD), tử vong tim mạch hoặc tử vong do bệnh thận (HR 0,61 [95% CI 0,51;0,72]; p<0,0001). Đường cong biến cố của FORXIGA và giả dược tách ra từ tháng thứ 4 và tiếp tục tách ra trong suốt thời gian nghiên cứu. Hiệu quả điều trị phản ánh qua việc giảm liên tục eGFR ≥ 50%, tiến triển đến bệnh thận giai đoạn cuối (ESKD) và tử vong tim mạch. Có rất ít ca tử vong do bệnh thận trong quá trình thử nghiệm (Bảng 12, Hình 7).
FORXIGA cũng làm giảm tần suất của tổ hợp tiêu chí gồm tử vong tim mạch hoặc nhập viện do suy tim (HR 0,71 [95% CI 0,55; 0,92], p = 0,0089) và tử vong do mọi nguyên nhân (HR 0,69 [95% CI 0,53; 0,88], p = 0,0035).
Bảng 12: Kết quả tổ hợp tiêu chí chính, các tiêu chí thành phần, và tổ hợp tiêu chí phụ trong nghiên cứu DAPA-CKD
Bệnh nhân xảy ra biến cố (tỷ lệ biến cố) | ||||
Biến số hiệu quả (thời gian xuất hiện lần đầu tiên) | FORXIGA 10mg N=2152 | Giả dược N=2152 | Tỷ số nguy cơ (95% Cl) | Giá trị p |
Tổ hợp biến cố giảm liên tục eGFR ≥ 50%, bệnh thận giai đoạn cuối (ESKD), tử vong tim mạch (CV) hoặc tử vong do bệnh thận | 197 (4,6) | 312 (7,5) | 0,61 (0,51; 0,72) | < 0,0001 |
Giảm liên tục eGFR ≥ 50% | 112 (2,6) | 201 (4,8) | 0,53 (0,42; 0,67) | |
Bệnh thận giai đoạn cuối (ESKD)* | 109 (2,5) | 161 (3,8) | 0,64 (0,50; 0,82) | |
Tử vong tim mạch (CV) | 65 (1,4) | 80 (1,7) | 0,81 (0,58; 1,12) | |
Tử vong do bệnh thận | 2 (< 0,1) | 6 (0,3) | ||
giảm liên tục eGFR ≥ 50% bệnh thận giai đoạn cuối (ESKD) hoặc tử vong do bệnh thận | 142 (3,3) | 243 (5,8) | 0,56 (0,45; 0,68) | < 0,0001 |
Tử vong tim mạch (CV) hoặc nhập viện do suy tim | 100 (2,2) | 138 (3,0) | 0,71 (0,55; 0,92) | 0,0089 |
Nhập viện do suy tim | 37 (0,8) | 71 (1,6) | 0,51 (0,34; 0,76) | |
Tử vong do mọi nguyên nhân | 101 (2,2) | 146 (3,1) | 0,69 (0,53; 088) | 0,0035 |
N= Số lượng bệnh nhân, Cl= Khoảng tin cậy, CV= Tim mạch, ESKD= Bệnh thận giai đoạn cuối.
*Bệnh thận giai đoạn cuối (ESKD) được định nghĩa là eGFR duy trì < 15 mL/phút/1,73 m2, bắt đầu điều trị lọc máu mạn tính hoặc ghép thận.
Ghi chú: Thời gian đến khi xảy ra biến cố đầu tiên được phân tích theo mô hình tỷ số nguy cơ Cox. Tỷ lệ biến cố được trình bày dưới dạng số lượng đối tượng với biến cố trên 100 bệnh nhân năm theo dõi.
Có quá ít trường hợp tử vong do bệnh thận để tính toán tỷ số nguy cơ đáng tin cậy.
Hình 7: Thời gian xuất hiện lần đầu tiên của tổ hợp tiêu chí chính, giảm liên tục eGFR ≥ 50% bệnh thận giai đoạn cuối (ESKD), tử vong tim mạch hoặc tử vong do bệnh thận (nghiên cứu DAPA-CKD)

Bệnh nhân có nguy cơ là số bệnh nhân có nguy cơ vào thời điểm bắt đầu tham gia nghiên cứu. 1 tháng tương ứng với 30 ngày. Giá trị p 2 mặt được hiển thị. HR, CI và giá trị p lấy từ mô hình tỷ số nguy cơ Cox.
HR = tỷ số nguy cơ; Cl = khoảng tin cậy; eGFR = độ lọc cầu thận ước tính; ESKD = bệnh thận giai đoạn cuối; CV = tim mạch; vs = so với.
Kết quả của tổ hợp tiêu chí chính nhất quán giữa các phân nhóm được khảo sát, bao gồm bệnh nhân bị bệnh thận mạn tính có và không có đái tháo đường týp 2, nguyên nhân của bệnh thận mạn tính, tuổi, giới tính, chủng tộc, tỷ số albumin/ creatinin trong nước tiểu (UACR) và eGFR. Nghiên cứu DAPA-CKD thu nhận một nhóm dân số bị bệnh thận mạn tính tương đối nặng có nguy cơ tiến triển cao. Các phân tích thăm dò của một thử nghiệm ngẫu nhiên, mù đôi, có đối chứng với giả dược được tiến hành để xác định ảnh hưởng của FORXIGA đối với kết cục tim mạch (thử nghiệm DECLARE) hỗ trợ kết luận rằng FORXIGA cũng có thể có hiệu quả ở bệnh nhân bị bệnh thận mạn tính giai đoạn sớm.
8. Thông tin thêm
– Đặc điểm
Viên nén bao phim.
FORXIGA 10mg: viên nén bao phim màu vàng, 2 mặt lồi, hình thoi kích thước đường chéo 1,1 x 0,8cm, 1 mặt khắc số “10”, mặt kia khắc số “1428”.
– Bảo quản
Bảo quản ở nhiệt độ dưới 30°C.
– Quy cách đóng gói
Hộp 2 vỉ x 14 viên nén bao phim.
– Hạn dùng
3 năm kể từ ngày sản xuất.
– Nhà sản xuất
AstraZeneca Pharmaceuticals LP.












Đánh giá
Chưa có đánh giá nào.